Open Access

Fig. 1

image

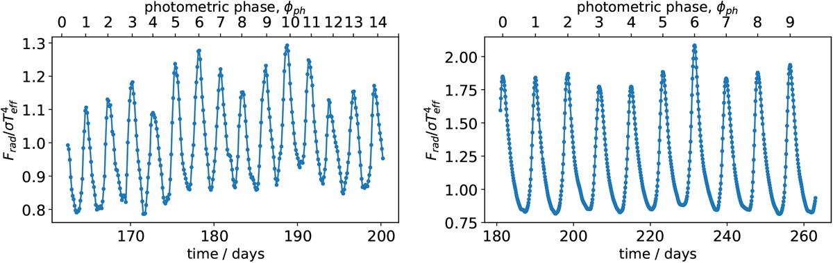
Light curves in terms of the emergent bolometric flux of models M3 (left panel) and M9 (right panel) which exhibit pulsational periods of 3 and 9 days, respectively. Blue dots indicate the instances in time for which 2D non-LTE spectral syntheses were performed.

Current usage metrics show cumulative count of Article Views (full-text article views including HTML views, PDF and ePub downloads, according to the available data) and Abstracts Views on Vision4Press platform.

Data correspond to usage on the plateform after 2015. The current usage metrics is available 48-96 hours after online publication and is updated daily on week days.

Initial download of the metrics may take a while.