Open Access

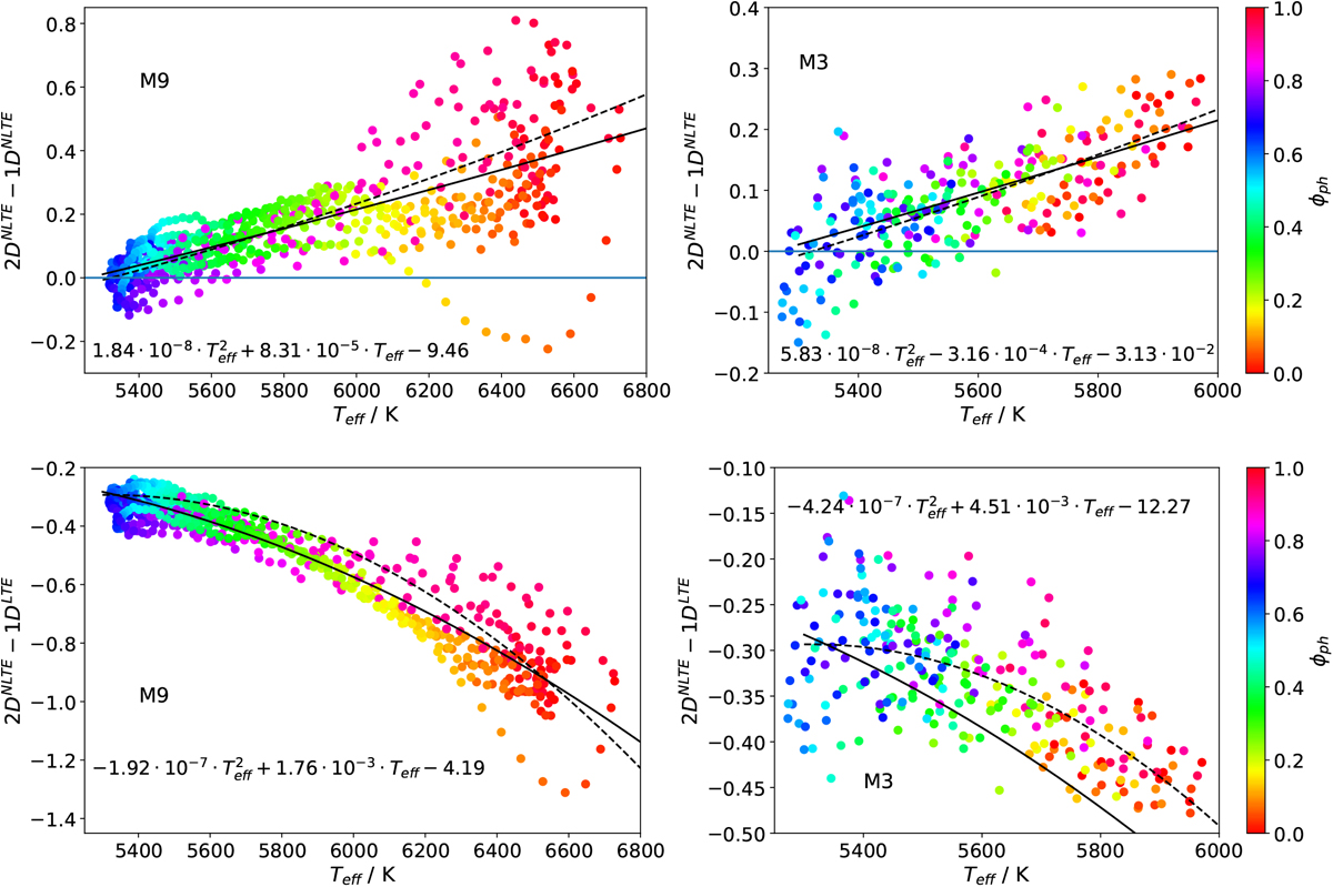
Fig. 8

image

2D non-LTE vs. 1D non-LTE (upper panels) and 2D non-LTE vs. 1D LTE (lower panels) abundance corrections for the O I 777 nm triplet integrated over all components as functions of effective temperature for the nine-day (left panels) and three-day (right panels) Cepheid model. The photometric phase ϕph is indicated by colour. Solid and dashed black lines depict the temperature dependence for M9 and M3, respectively, when fittingthe numerical data by a parabola.

Current usage metrics show cumulative count of Article Views (full-text article views including HTML views, PDF and ePub downloads, according to the available data) and Abstracts Views on Vision4Press platform.

Data correspond to usage on the plateform after 2015. The current usage metrics is available 48-96 hours after online publication and is updated daily on week days.

Initial download of the metrics may take a while.