Free Access

This article has an erratum: [https://doi.org/10.1051/0004-6361/202558721e]


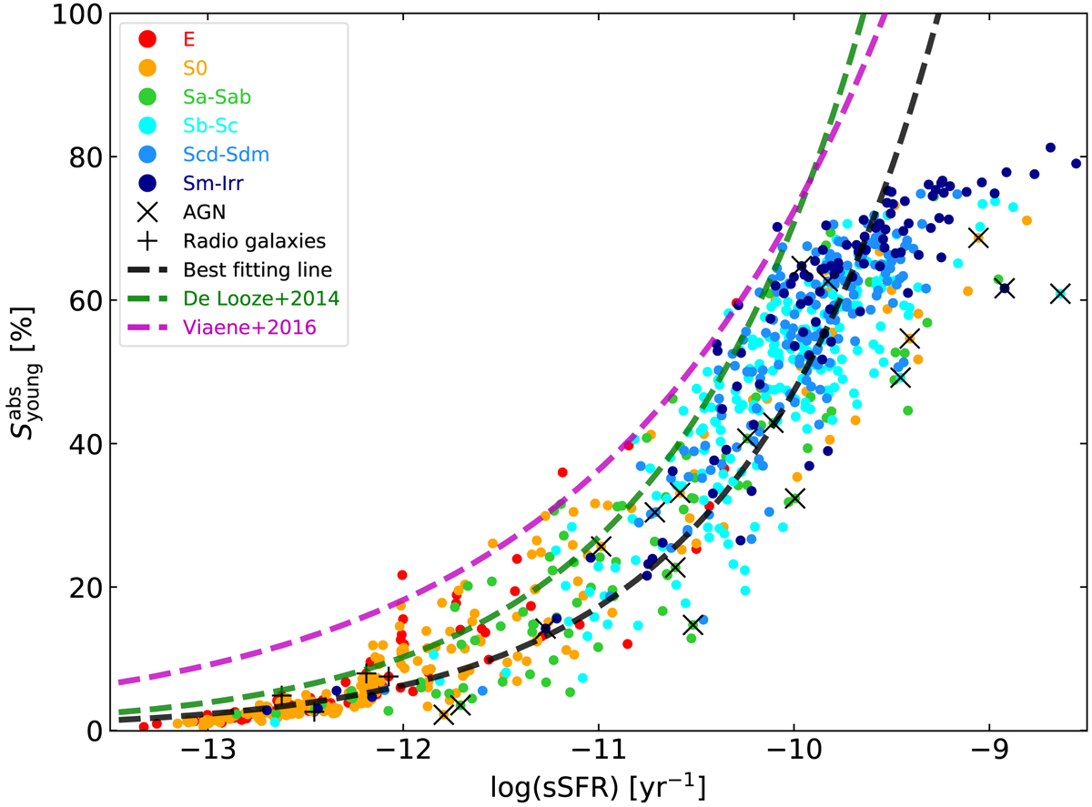
Fig. 13.

image

Correlation between and sSFR. Each point represents a galaxy and is color-coded according to morphological type. Galaxies hosting AGNs and strong radio jets are marked with an “X” or a “+”, respectively. The black dashed line is the best fitted powerlaw. For comparison, the best fitted lines for M51 (green line: De Looze et al. 2014) and HRS (magenta line: Viaene et al. 2016) are shown.

Current usage metrics show cumulative count of Article Views (full-text article views including HTML views, PDF and ePub downloads, according to the available data) and Abstracts Views on Vision4Press platform.

Data correspond to usage on the plateform after 2015. The current usage metrics is available 48-96 hours after online publication and is updated daily on week days.

Initial download of the metrics may take a while.