Free Access

This article has an erratum: [https://doi.org/10.1051/0004-6361/202558721e]


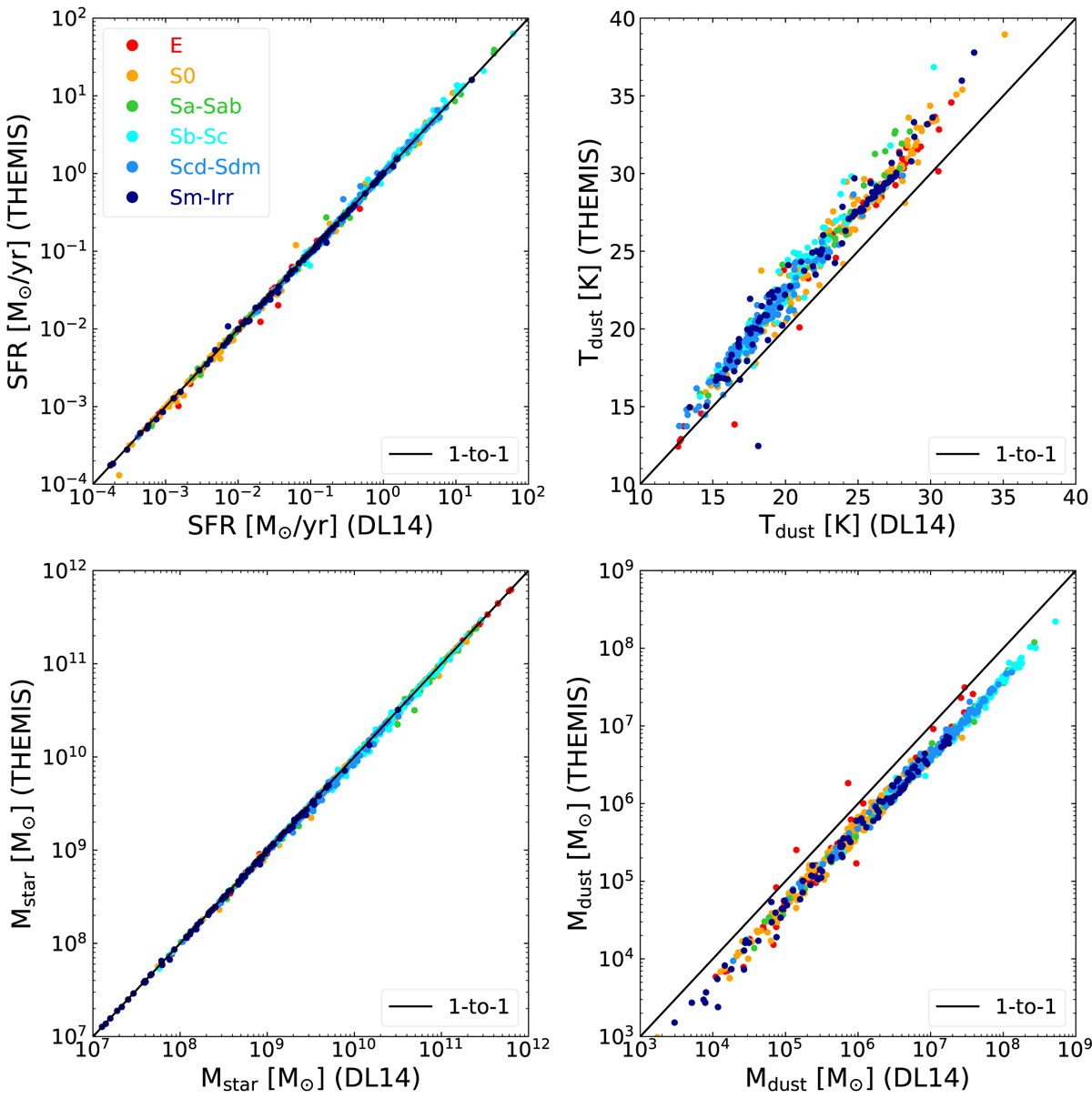
Fig. B.3.

image

Comparison between SFR, Tdust, Mstar, and Mdust (from top-left to bottom-right respectively), as derived from CIGALE, assuming two different dust grain models (DL14 on x-axis and THEMIS on y-axis). The points are color-coded according to the six main morphological types (see the inset in the top-left panel). The black solid line is the one-to-one relation.

Current usage metrics show cumulative count of Article Views (full-text article views including HTML views, PDF and ePub downloads, according to the available data) and Abstracts Views on Vision4Press platform.

Data correspond to usage on the plateform after 2015. The current usage metrics is available 48-96 hours after online publication and is updated daily on week days.

Initial download of the metrics may take a while.