Free Access

This article has an erratum: [https://doi.org/10.1051/0004-6361/202558721e]


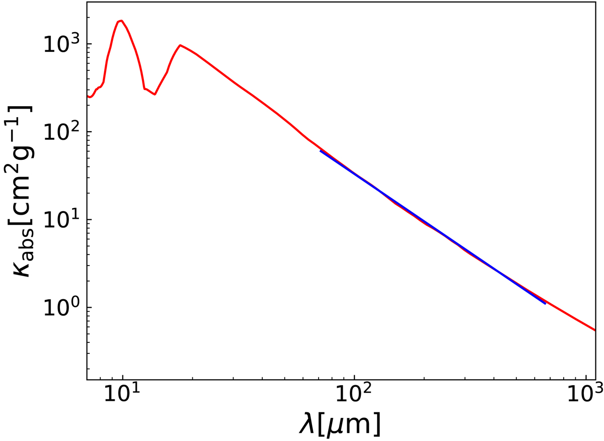
Fig. 3.

image

Average absorption coefficient calculated within the THEMIS dust model (red line). For the wavelength range 70 ≤ λ/μm ≤ 700 we approximated the extinction law with a power-law (blue line) so that it can be used in the MBB calculations (see text for more details).

Current usage metrics show cumulative count of Article Views (full-text article views including HTML views, PDF and ePub downloads, according to the available data) and Abstracts Views on Vision4Press platform.

Data correspond to usage on the plateform after 2015. The current usage metrics is available 48-96 hours after online publication and is updated daily on week days.

Initial download of the metrics may take a while.