Open Access

Fig. 6.

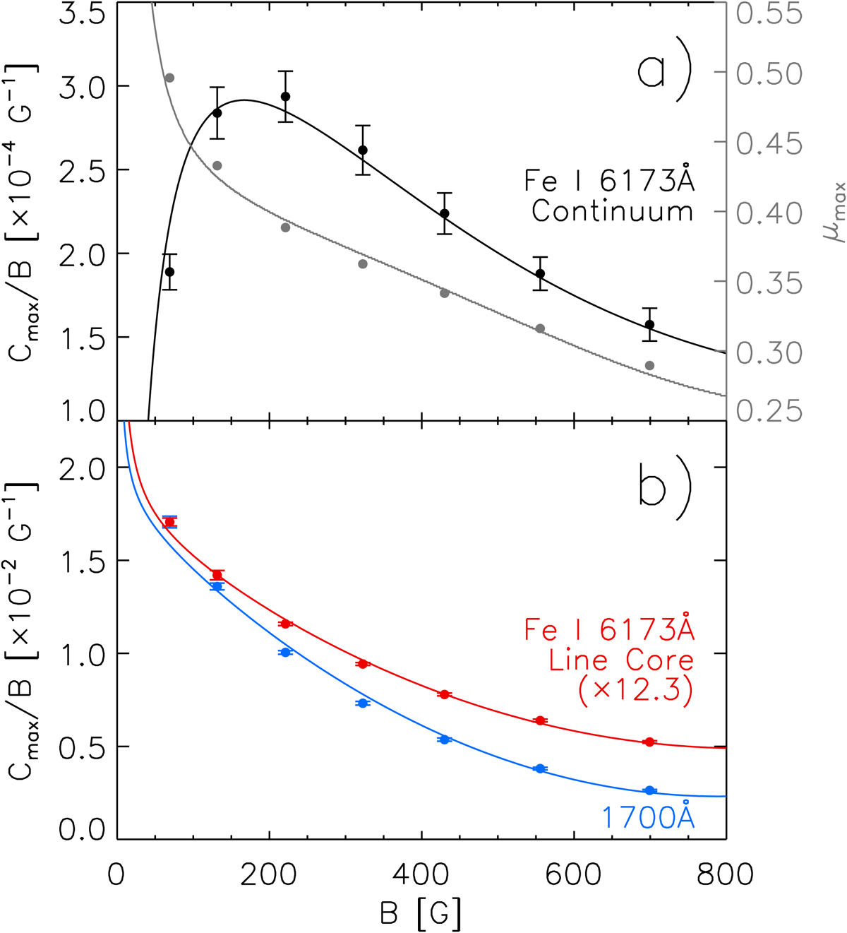
image

Panel a: as a function of B, specific contrast, Cmax/B (black, left-hand axis) and the position of Cmax, μmax (grey, right-hand axis) at the continuum of the Fe I 6173 Å line. The plot points correspond to the values derived from the CLV profiles (Fig. 2a) and the curves to the estimate from the empirical intensity contrast models (Eq. (2) and Table 1). Panel b: specific contrast at the Fe I 6173 Å line core (red) and 1700 Å (blue). To facilitate the comparison, we scaled the Fe I 6173 Å line core values by a factor of 11.9 to match the 1700 Å values at the first plot point. At these two passbands, μmax = 1 at all levels of B, hence the omission from the figure.

Current usage metrics show cumulative count of Article Views (full-text article views including HTML views, PDF and ePub downloads, according to the available data) and Abstracts Views on Vision4Press platform.

Data correspond to usage on the plateform after 2015. The current usage metrics is available 48-96 hours after online publication and is updated daily on week days.

Initial download of the metrics may take a while.