Open Access

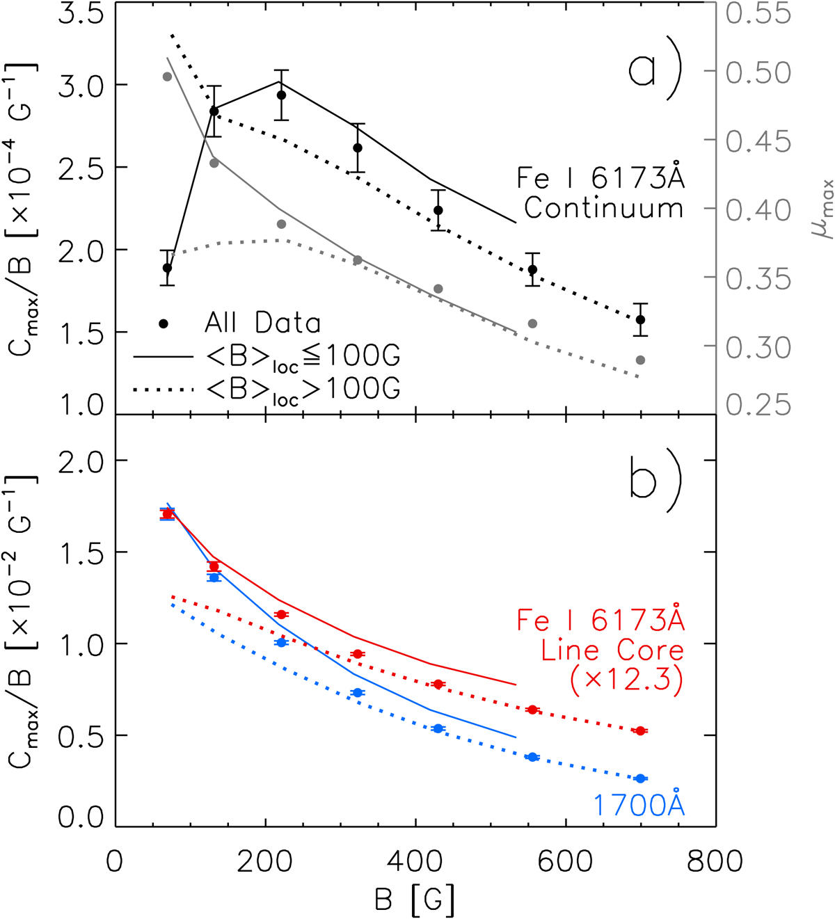
Fig. 8.

image

Same as Fig. 6, except at ⟨Bloc ≤ 100 G (solid curves) and ⟨Bloc >  100 G (dotted curves). The filled circles denote the values from taking all available data into consideration, adopted from the earlier figure. The uncertainty of the ⟨Bloc <  100 G and ⟨Bloc >  100 G series is of similar order as the ensemble series. It is omitted here to aid visibility.

Current usage metrics show cumulative count of Article Views (full-text article views including HTML views, PDF and ePub downloads, according to the available data) and Abstracts Views on Vision4Press platform.

Data correspond to usage on the plateform after 2015. The current usage metrics is available 48-96 hours after online publication and is updated daily on week days.

Initial download of the metrics may take a while.