Free Access

Fig. 5.

image

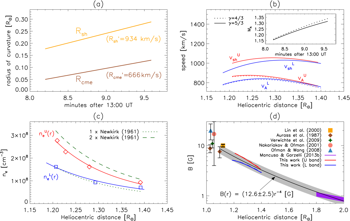
Panel a: radial profiles of the radii of curvature of the shock and the CME leading edge. Panel b: radial profiles of vsh and vA along the two streamers depicted in Fig. 4 and time profile of MA (see the inset). Red and blue colors correspond to the colors of the streamer axes in that figure. The U (L) suffix highlights the streamer intersected by the shock surface emitting at the upper (lower) frequency band of the type II shown in Fig. 3. Panel c: radial profiles of ne along the two streamers depicted in Fig. 4 compared with one- and two-fold Newkirk (1961) radial profiles. Panel d: magnetic-field radial profile as derived in this work (red and blue curves), together with estimates of B based on different methods. A simple radial profile (black line within gray boundaries) nicely fits our results and the previous estimates in the range 1.1−2.0 R.

Current usage metrics show cumulative count of Article Views (full-text article views including HTML views, PDF and ePub downloads, according to the available data) and Abstracts Views on Vision4Press platform.

Data correspond to usage on the plateform after 2015. The current usage metrics is available 48-96 hours after online publication and is updated daily on week days.

Initial download of the metrics may take a while.