Highlight
Free Access

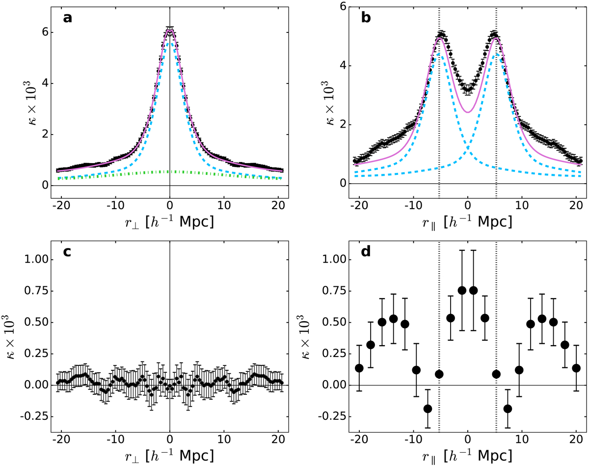
Fig. 7.

image

One-dimensional profiles of the lensing signal from stacked galaxy pairs. The meaning of each panel is the same as in Fig. 3 except that the projected total matter density parameter κ is now presented. Error bars in panels a and b represent the errors on the mean, whereas panels c and d show the errors obtained from the jackknife analysis.

Current usage metrics show cumulative count of Article Views (full-text article views including HTML views, PDF and ePub downloads, according to the available data) and Abstracts Views on Vision4Press platform.

Data correspond to usage on the plateform after 2015. The current usage metrics is available 48-96 hours after online publication and is updated daily on week days.

Initial download of the metrics may take a while.