Free Access

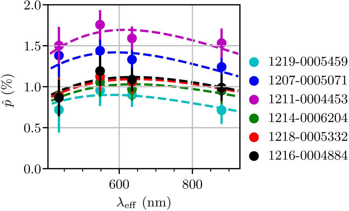
Fig. 3.

image

Wavelength dependence of polarization for six of the stars in the R-band sample (USNO-B1 identifiers shown in the legend). Debiased fractional linear polarization () measured in the Johnsons-Cousins B, V, R, and I bands (horizontal axis shows effective wavelength). For each star, a line shows the best-fit Serkowski law (Eq. (1), with K set to 1.15).

Current usage metrics show cumulative count of Article Views (full-text article views including HTML views, PDF and ePub downloads, according to the available data) and Abstracts Views on Vision4Press platform.

Data correspond to usage on the plateform after 2015. The current usage metrics is available 48-96 hours after online publication and is updated daily on week days.

Initial download of the metrics may take a while.