Free Access

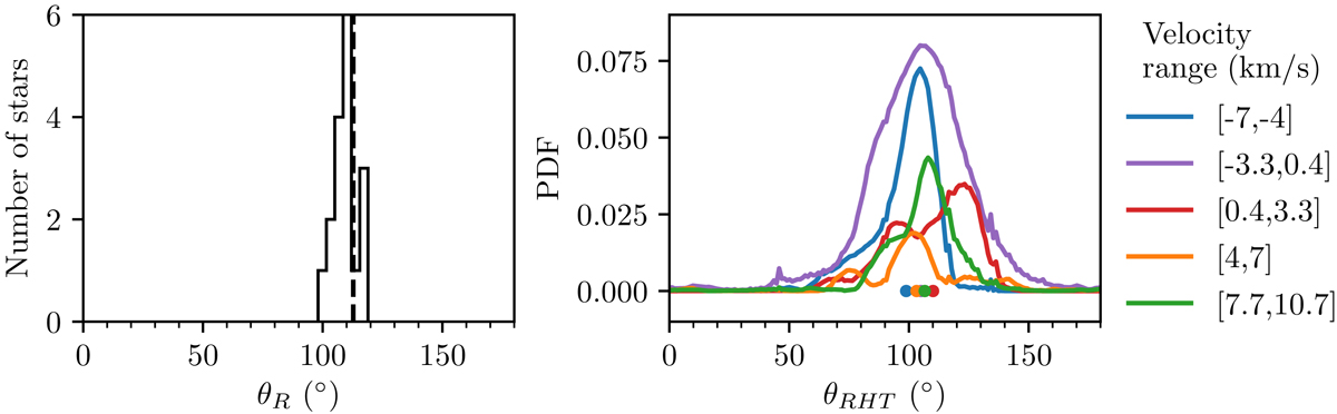
Fig. 4.

image

Left: distribution of stellar polarization angles, θR for stars farther than 250 pc (solid line). The dashed vertical line shows the χ353+90° from Planck at 80′ resolution. Right: probability density functions of the orientation of linear HI structures (θRHT) for different velocity ranges (shown on the right). We only consider velocity ranges within the peak of the HI intensity spectrum. The filled circles in the bottom mark the mean value, ⟨θRHT⟩ for each velocity range. All angles are measured in the Galactic reference frame, according to the IAU convention.

Current usage metrics show cumulative count of Article Views (full-text article views including HTML views, PDF and ePub downloads, according to the available data) and Abstracts Views on Vision4Press platform.

Data correspond to usage on the plateform after 2015. The current usage metrics is available 48-96 hours after online publication and is updated daily on week days.

Initial download of the metrics may take a while.