Free Access
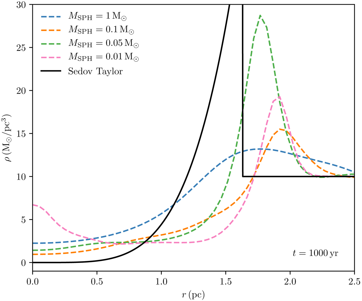
Fig. 12.

Mean gas density as a function of radius at time t = 1000 yr for the supernova test at four resolutions (dashed lines). The analytical solution (solid black line), is the Sedov–Taylor solution for a self-similar blast wave in a uniform medium (Taylor 1950; Sedov 1959).
Current usage metrics show cumulative count of Article Views (full-text article views including HTML views, PDF and ePub downloads, according to the available data) and Abstracts Views on Vision4Press platform.
Data correspond to usage on the plateform after 2015. The current usage metrics is available 48-96 hours after online publication and is updated daily on week days.
Initial download of the metrics may take a while.