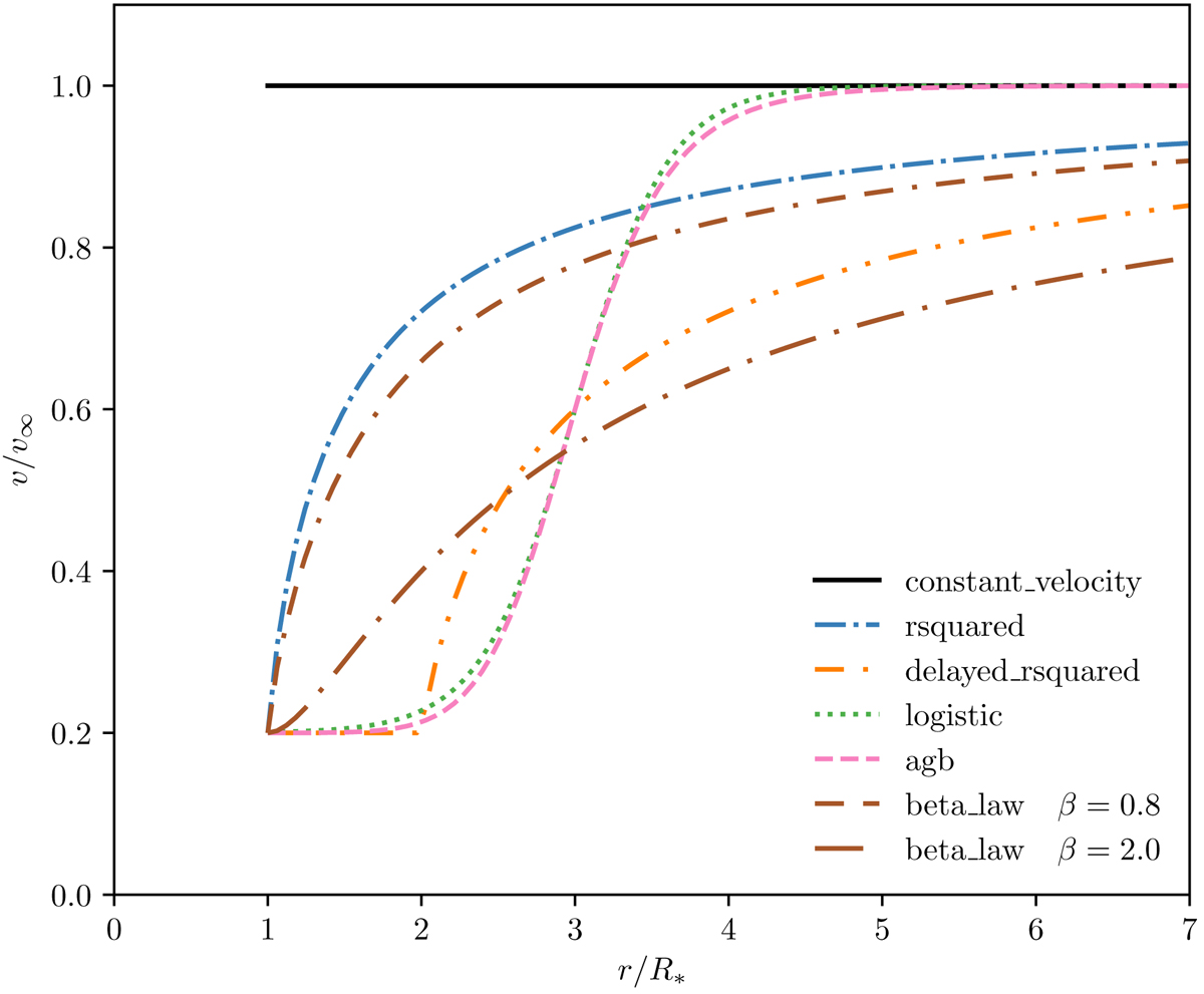
Fig. 2.

Radial velocity profiles for the wind acceleration functions currently available in STELLAR_WIND.PY. The formulae for these functions can be found in Table 1. For the beta_law we show two curves that are good fits for hot massive stars ( β = 0.8) and cool giants ( β = 2.0) (Lamers & Cassinelli 1999). To illustrate the shape of the acceleration curves, we have chosen υ0 = 0.2 υ∞, racc_start = 2 R* (for the delayed_rsquared function), and rmid = 3 R* and s = α = 10 (for the logistic and agb function).
Current usage metrics show cumulative count of Article Views (full-text article views including HTML views, PDF and ePub downloads, according to the available data) and Abstracts Views on Vision4Press platform.
Data correspond to usage on the plateform after 2015. The current usage metrics is available 48-96 hours after online publication and is updated daily on week days.
Initial download of the metrics may take a while.