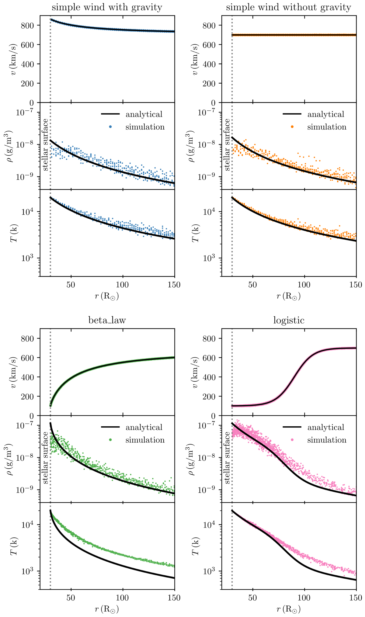
Fig. 4.

Analytical and simulated velocity (υ), density ( ρ) and temperature (T) as a function of radius (r) for the fast wind test. The results are from simulations using the simple wind mode (top) and the accelerating wind mode (bottom). The stellar and wind parameters can be found it Table 2. To calculate the analytical temperature profile, we assume adiabatic expansion.
Current usage metrics show cumulative count of Article Views (full-text article views including HTML views, PDF and ePub downloads, according to the available data) and Abstracts Views on Vision4Press platform.
Data correspond to usage on the plateform after 2015. The current usage metrics is available 48-96 hours after online publication and is updated daily on week days.
Initial download of the metrics may take a while.