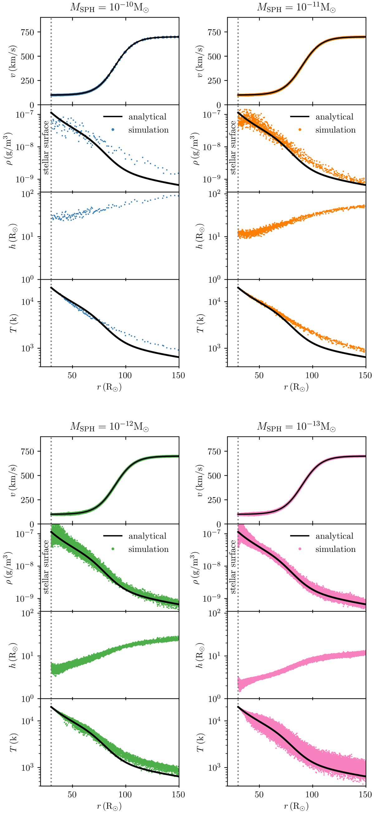
Fig. 5.

Same as Fig. 4, but only for a simulation using the accelerating wind mode with the logistic acceleration function. We have varied the resolution by changing the SPH particle mass (MSPH) and through that the number of particles in the simulation. We have added the smoothing length, h, as a function of radius for each simulation, which is a measure of the local spatial resolution.
Current usage metrics show cumulative count of Article Views (full-text article views including HTML views, PDF and ePub downloads, according to the available data) and Abstracts Views on Vision4Press platform.
Data correspond to usage on the plateform after 2015. The current usage metrics is available 48-96 hours after online publication and is updated daily on week days.
Initial download of the metrics may take a while.