Open Access

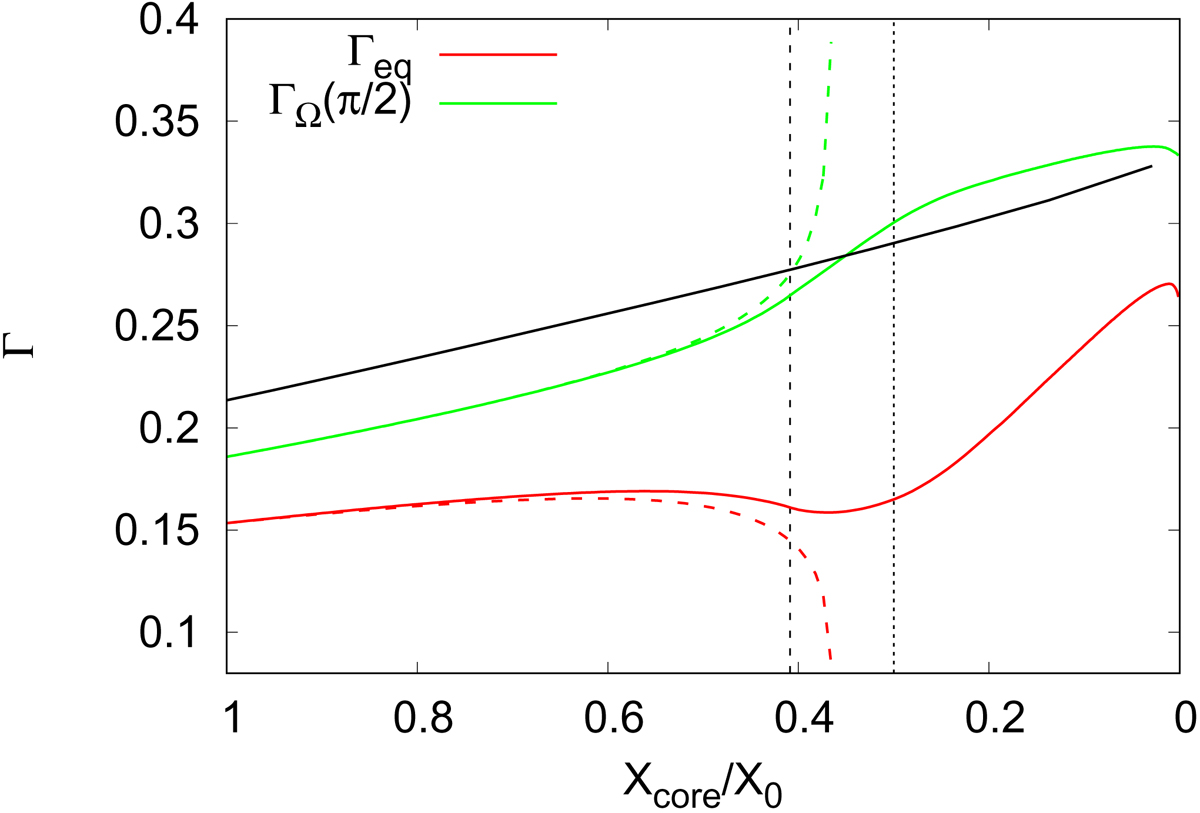
Fig. 10.

image

Γeq and ΓΩ(π/2) as a function of the fractional abundance of hydrogen in the convective core for a 15 M ESTER 2D-model initially rotating at ωi = 0.5, with and without mass loss (respectively solid and dashed lines). The black line shows the evolution of Γeq for ω = 0. The two vertical lines delineate the two phases of the two-wind regime (see Sect. 4.5).

Current usage metrics show cumulative count of Article Views (full-text article views including HTML views, PDF and ePub downloads, according to the available data) and Abstracts Views on Vision4Press platform.

Data correspond to usage on the plateform after 2015. The current usage metrics is available 48-96 hours after online publication and is updated daily on week days.

Initial download of the metrics may take a while.