Open Access

Fig. 14.

image

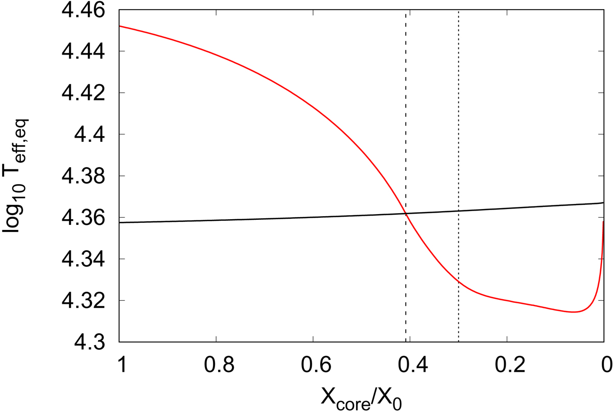
As Fig. 13, but for the evolution of the equatorial effective temperature Teff, eq (in K) as a function of the fractional abundance of hydrogen in the convective core Xcore/X0 for a 15 M star with Z = 0.02 and for ωi = 0.5. The black full line corresponds to the evolution of the effective temperature of the bi-stability jump .

Current usage metrics show cumulative count of Article Views (full-text article views including HTML views, PDF and ePub downloads, according to the available data) and Abstracts Views on Vision4Press platform.

Data correspond to usage on the plateform after 2015. The current usage metrics is available 48-96 hours after online publication and is updated daily on week days.

Initial download of the metrics may take a while.