Open Access

Fig. 2.

image

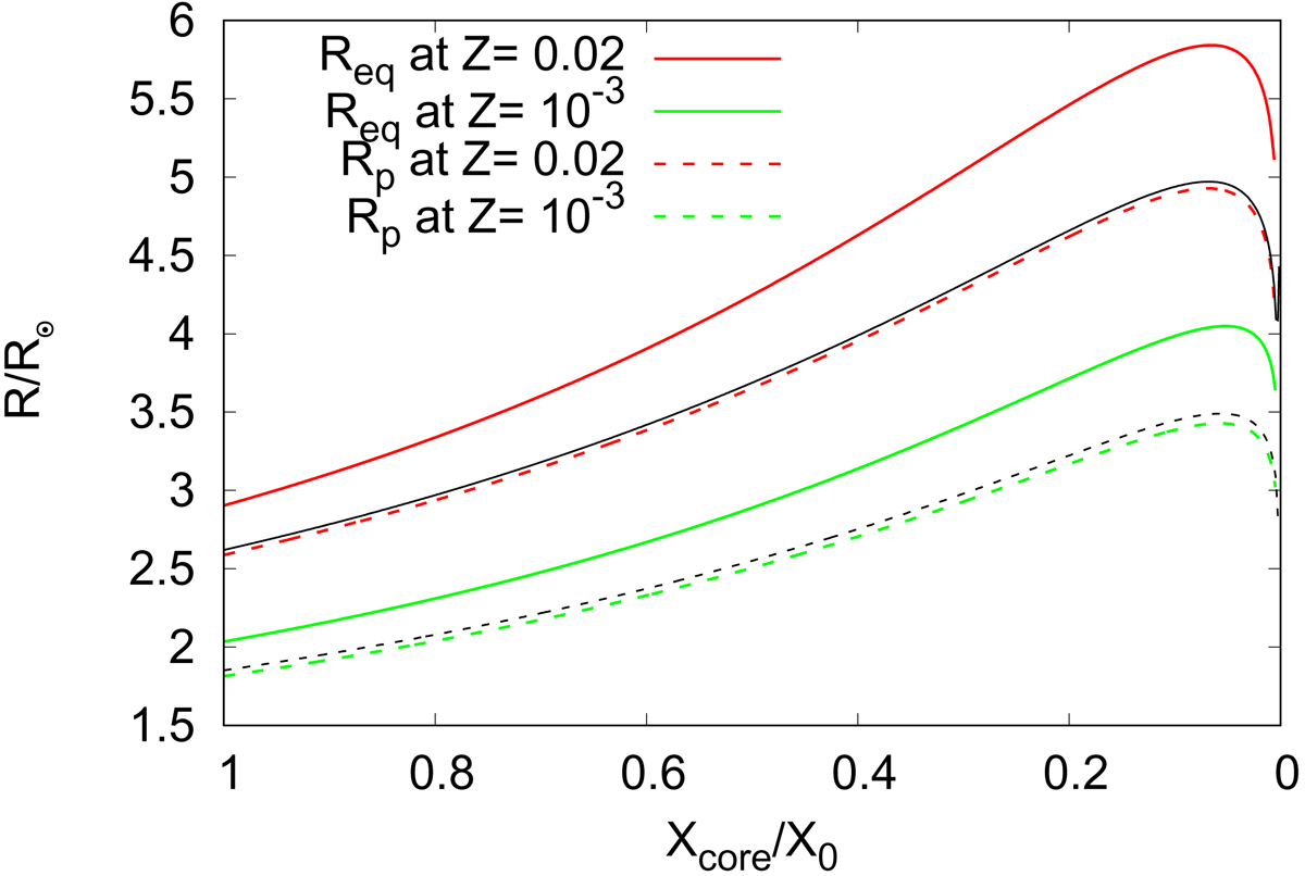
Equatorial and polar radius as a function of the fractional abundance of hydrogen in the convective core for a 5 M star initially rotating at ωi = 0.5 for Z = 0.02 and Z = 10−3. The stellar radius in case of no rotation has been added for comparison in full and dashed black lines for Z = 0.02 and 10−3 respectively.

Current usage metrics show cumulative count of Article Views (full-text article views including HTML views, PDF and ePub downloads, according to the available data) and Abstracts Views on Vision4Press platform.

Data correspond to usage on the plateform after 2015. The current usage metrics is available 48-96 hours after online publication and is updated daily on week days.

Initial download of the metrics may take a while.