Free Access

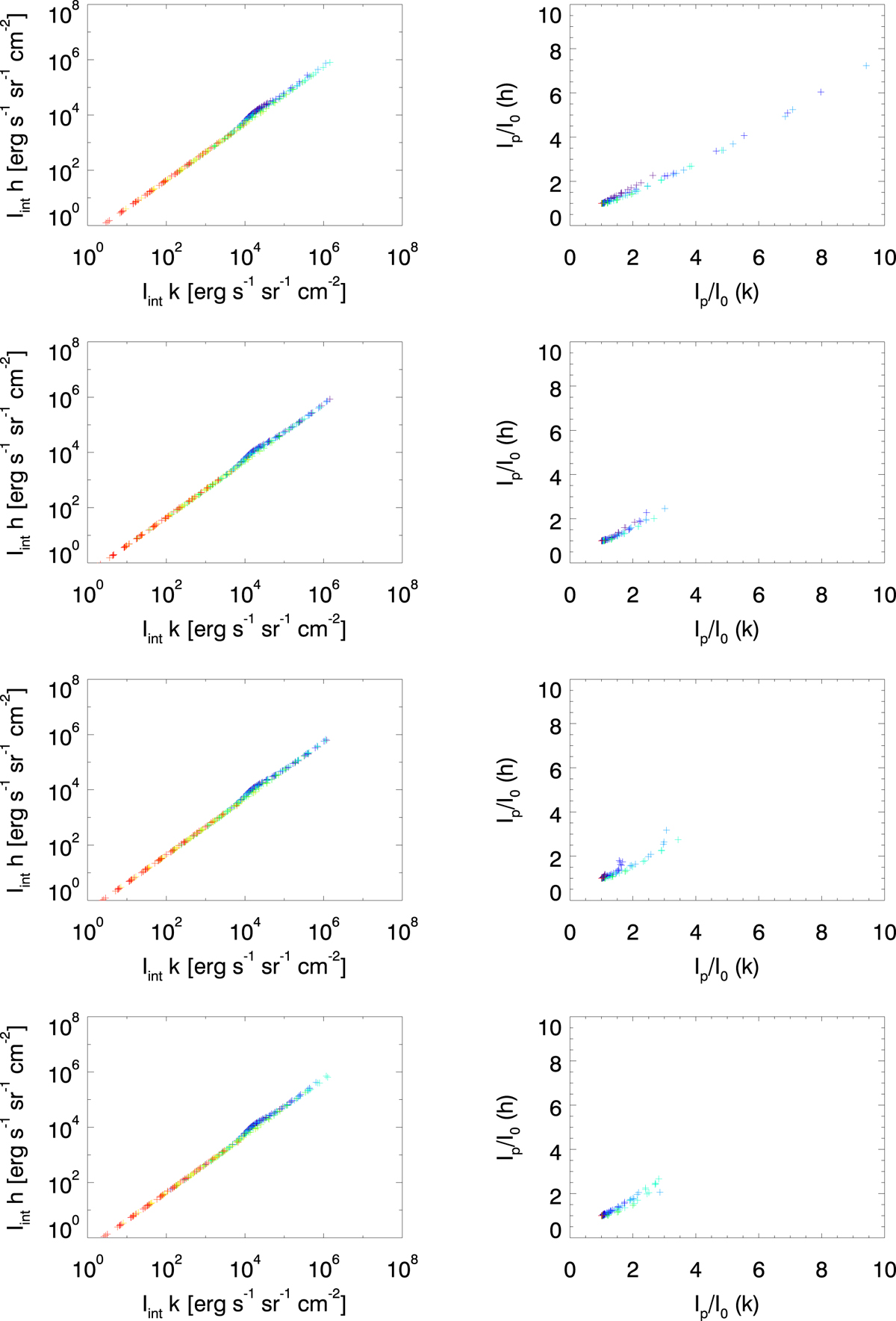
Fig. 3.

image

Correlations between observable properties of the Mg II h and k lines. Left: correlation between frequency-integrated intensities of the Mg II h and k lines. Right: correlation between Mg II h and k reversal levels. Top row: points are for all isothermal isobaric models. Three bottom rows: points are for all PCTR models. Second row: γ = 2. Third row: γ = 5. Bottom: γ = 10. Colour indicates temperature, increasing from purple to red.

Current usage metrics show cumulative count of Article Views (full-text article views including HTML views, PDF and ePub downloads, according to the available data) and Abstracts Views on Vision4Press platform.

Data correspond to usage on the plateform after 2015. The current usage metrics is available 48-96 hours after online publication and is updated daily on week days.

Initial download of the metrics may take a while.