Free Access

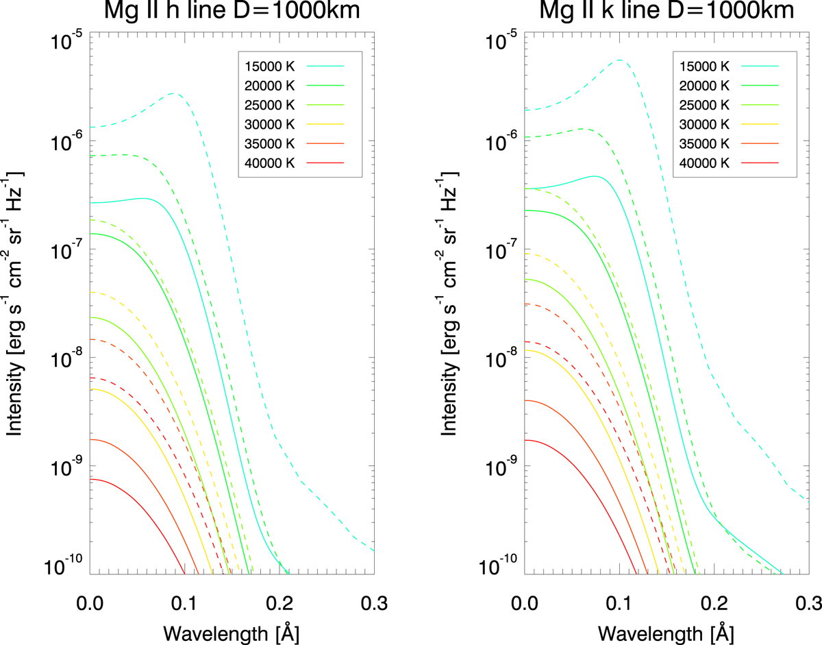
Fig. 7.

image

Half-line emergent profiles for the Mg II h (left) and k (right) lines from isothermal isobaric models with T ≥ 15 000 K. All profiles are from models with D = 1000 km. Profiles for two pressures are shown, with P = 0.1 dyne cm−2 (solid lines) and P = 0.5 dyne cm−2 (dashed lines). Temperatures are colour-coded: 15 000 K (black), 20 000 K (maroon), 25 000 K (red), 30 000 K (pink), 35 000 K (orange), and 40 000 K (yellow).

Current usage metrics show cumulative count of Article Views (full-text article views including HTML views, PDF and ePub downloads, according to the available data) and Abstracts Views on Vision4Press platform.

Data correspond to usage on the plateform after 2015. The current usage metrics is available 48-96 hours after online publication and is updated daily on week days.

Initial download of the metrics may take a while.