Open Access

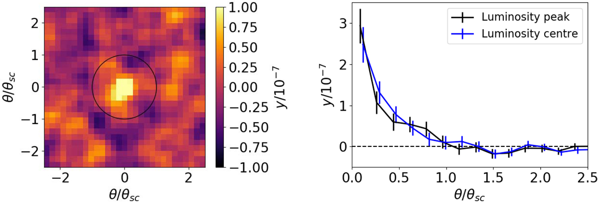
Fig. 4.

image

Left panel: average Plancky map stacked against 790 superclusters in a coordinate system where the superclusters are located at the center and the sizes are normalized to one. For centeres of superclusters, “luminosity peak” is used. The square region, −2.5 <  Δl/θsc <  +2.5 and −2.5 <  Δb/θsc <  +2.5, comprises 31 × 31 pixels. The black circle represents a boundary of superclusters assuming circular shapes. Right panel: corresponding radial y profile (black) is compared with the y profile using “luminosity center” (blue). The 1σ uncertainties are estimated by a bootstrap resampling (see Sect. 3.4).

Current usage metrics show cumulative count of Article Views (full-text article views including HTML views, PDF and ePub downloads, according to the available data) and Abstracts Views on Vision4Press platform.

Data correspond to usage on the plateform after 2015. The current usage metrics is available 48-96 hours after online publication and is updated daily on week days.

Initial download of the metrics may take a while.