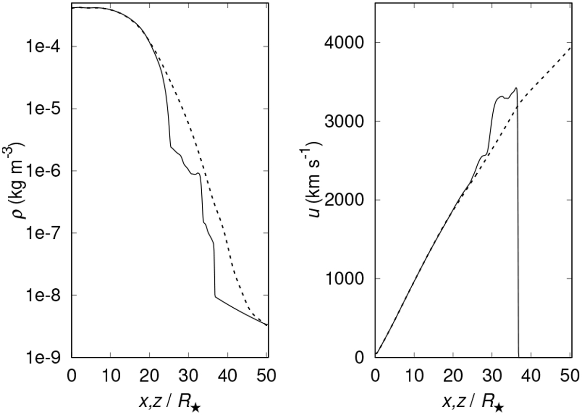
Fig. 13

Model B: 1D slices of density (left panel) and velocity (right panel)in the equatorial plane (x-coordinate, solid line) and in polar direction (z-coordinate, dashed line) at time t ≈ 180 h since shock emergence (corresponding to Fig. 12). The maximum of the polar velocity, which is already outside the computational domain, is approximately 4400 km s−1.
Current usage metrics show cumulative count of Article Views (full-text article views including HTML views, PDF and ePub downloads, according to the available data) and Abstracts Views on Vision4Press platform.
Data correspond to usage on the plateform after 2015. The current usage metrics is available 48-96 hours after online publication and is updated daily on week days.
Initial download of the metrics may take a while.