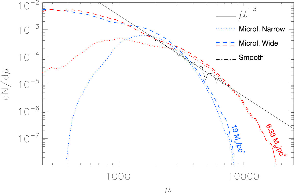
Fig. 8.

Pdf of the magnification computed in a smaller region around the macrocaustic at ten times the resolution. The black solid line shows the expected μ−3 for smooth caustics. The black dot-dashed line shows the pdf of the smooth model computed through the inverse ray shooting method. The dotted lines are the pdf of the model with microlenses computed over the narrow region in Fig. 9, while the dashed lines are for the pdf computed over the wide region. Blue lines are for the model with Σ = 19 M⊙ pc−2 and red lines are for a model with Σ = 6.33 M⊙ pc−2.
Current usage metrics show cumulative count of Article Views (full-text article views including HTML views, PDF and ePub downloads, according to the available data) and Abstracts Views on Vision4Press platform.
Data correspond to usage on the plateform after 2015. The current usage metrics is available 48-96 hours after online publication and is updated daily on week days.
Initial download of the metrics may take a while.