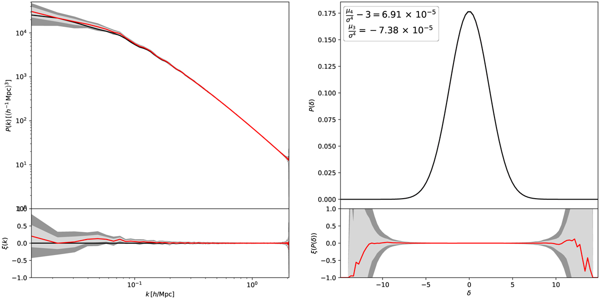
Fig. 8.

Posterior power-spectra measured from inferred initial density fields (left panel) and the one-point distribution of primordial density fluctuations (right panel). The plot demonstrates that individual data constrained realizations of the initial density field constitute physically valid quantities. Throughout the entire domain of Fourier modes considered in this work we do not observe any particular bias or attenuation of measured cosmic power-spectra. The measured posterior one-point distribution of primordial fluctuations is compatible with a fiducial normal one-point distribution with variance corresponding to the cosmological parameters as described in Sect. 4.2. Tests of kurtosis and skewness, as indicated in the right panel, confirm inferred initial density fluctuations to follow Gaussian statistics.
Current usage metrics show cumulative count of Article Views (full-text article views including HTML views, PDF and ePub downloads, according to the available data) and Abstracts Views on Vision4Press platform.
Data correspond to usage on the plateform after 2015. The current usage metrics is available 48-96 hours after online publication and is updated daily on week days.
Initial download of the metrics may take a while.