Free Access

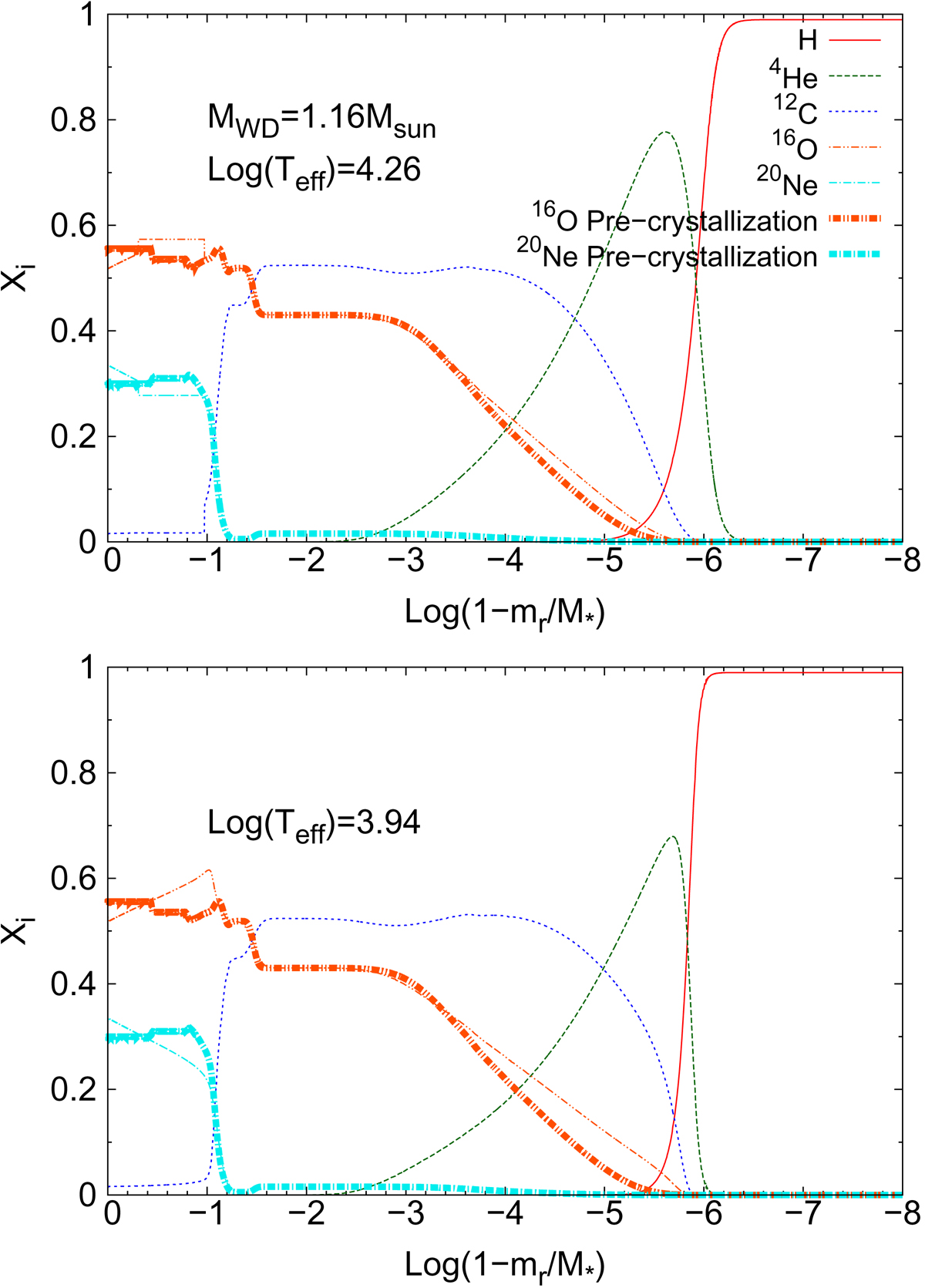
Fig. 10.

image

Change in the chemical profiles of our 1.16 M hydrogen-rich white dwarf model induced by the phase separation process during crystallization. Top (bottom) panel: chemical profile at log(Teff)=4.26(3.94). For comparison, the abundances of 16O and 20Ne right before phase separation are also plotted with thick lines in both panels.

Current usage metrics show cumulative count of Article Views (full-text article views including HTML views, PDF and ePub downloads, according to the available data) and Abstracts Views on Vision4Press platform.

Data correspond to usage on the plateform after 2015. The current usage metrics is available 48-96 hours after online publication and is updated daily on week days.

Initial download of the metrics may take a while.