Free Access

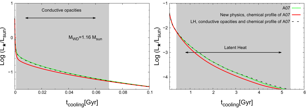
Fig. 14.

image

Cooling times of 1.16 M hydrogen-rich white dwarf models without phase separation and considering the same chemical profiles of A07, but adopting different microphysics. The cooling sequence of A07, which is based on an old treatment of conductive opacity and latent heat, is shown as a green dotted line. The red solid line shows the cooling times calculated using our current numerical code. The dashed line shows the prediction given by our current numerical code, but with old microphysics, i.e., the same conductive opacities and treatment of latent heat as considered in A07. Left panel: amplifies the early stages of the white dwarf stage. Right panel: rest of the white dwarf cooling track.

Current usage metrics show cumulative count of Article Views (full-text article views including HTML views, PDF and ePub downloads, according to the available data) and Abstracts Views on Vision4Press platform.

Data correspond to usage on the plateform after 2015. The current usage metrics is available 48-96 hours after online publication and is updated daily on week days.

Initial download of the metrics may take a while.