Free Access
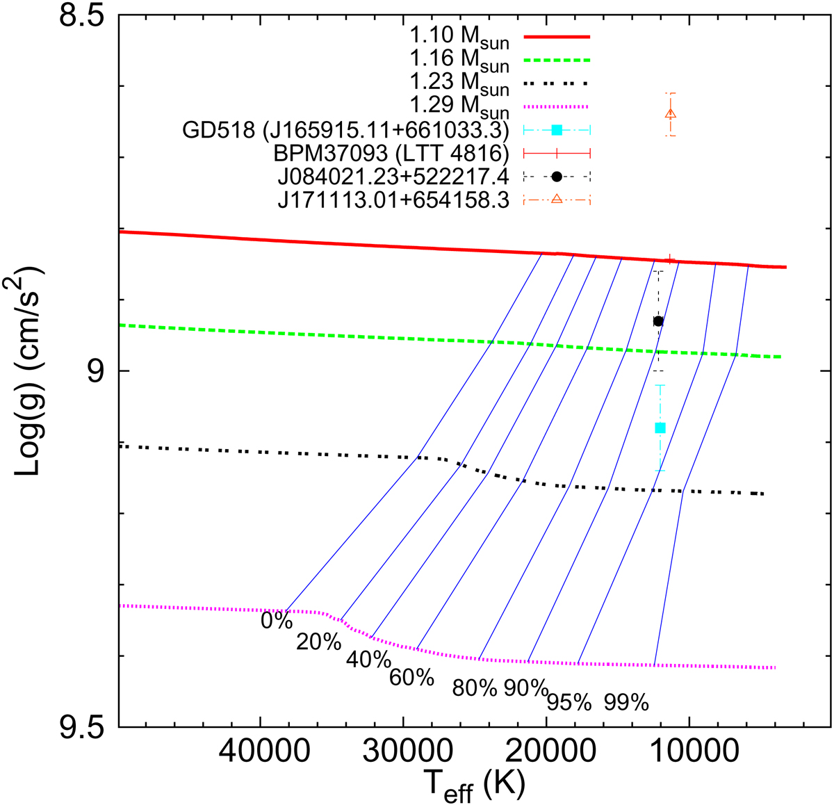
Fig. 7.

Hydrogen-rich sequences in the plane log(g) − Teff. Blue solid lines indicate 0, 20, 40, 60, 80, 90, 95 and 99% of crystallized mass. The symbols with error bars indicate the location of the known pulsating ultra-massive DA white dwarfs (Mukadam et al. 2004; Hermes et al. 2013; Curd et al. 2017; Nitta et al. 2016).
Current usage metrics show cumulative count of Article Views (full-text article views including HTML views, PDF and ePub downloads, according to the available data) and Abstracts Views on Vision4Press platform.
Data correspond to usage on the plateform after 2015. The current usage metrics is available 48-96 hours after online publication and is updated daily on week days.
Initial download of the metrics may take a while.