Open Access

Fig. 13.

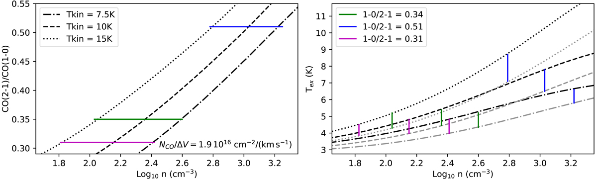
image

RADEX simulations. We consider a standard CO abundance NCO = 10−4NH2⟩. We measure a mean molecular hydrogen column density of 3 × 1020 cm−2 that we correct for the surface beam filling factor (ηbf = 0.052) assuming the CO(2-1) is optically thick and computed for Tex = 5 K. Last, we estimate a mean ΔV of 30 km s−1. Left panel: the different line types represent the simulations for 3 different kinetic temperature Tkin. Left and right panels: expected CO(2-1) to CO(1-0) line ratio (in temperature) and excitation temperature of the 2 lines, respectively, as a function of the hydrogen density. Right panel: the black (resp. grey) lines correspond to the CO(1-0) (resp. CO(2-1)) line. The green, blue, and magenta ticks correspond to the line ratios measured in the 3 positions. This shows that this gas is subthermally excited and well below the expected critical density for a kinetic temperature of 10 K, cm−3 and cm−3.

Current usage metrics show cumulative count of Article Views (full-text article views including HTML views, PDF and ePub downloads, according to the available data) and Abstracts Views on Vision4Press platform.

Data correspond to usage on the plateform after 2015. The current usage metrics is available 48-96 hours after online publication and is updated daily on week days.

Initial download of the metrics may take a while.