Free Access
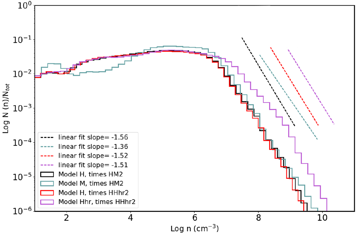
Fig. 2

Logarithm of the probability density functions of the density for Models H and M, at reference times HM2, and for Models H and Hhr, at reference times HHhr2. The dashed lines show power-law fits to the high-density gas.
Current usage metrics show cumulative count of Article Views (full-text article views including HTML views, PDF and ePub downloads, according to the available data) and Abstracts Views on Vision4Press platform.
Data correspond to usage on the plateform after 2015. The current usage metrics is available 48-96 hours after online publication and is updated daily on week days.
Initial download of the metrics may take a while.