Free Access
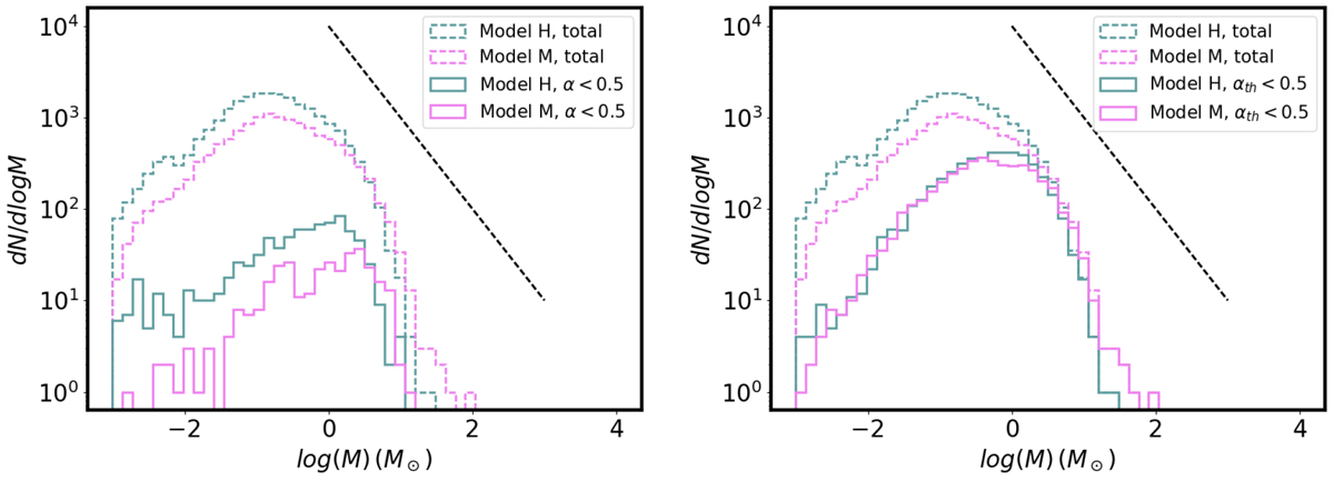
Fig. 8

Mass distributions of the cores with α < 0.5 (left) and αth < 0.5 (right) for Models H and M, at reference times HM2. The dashed histograms show the full distribution, while the black dashed line shows the Salpeter IMF slope.
Current usage metrics show cumulative count of Article Views (full-text article views including HTML views, PDF and ePub downloads, according to the available data) and Abstracts Views on Vision4Press platform.
Data correspond to usage on the plateform after 2015. The current usage metrics is available 48-96 hours after online publication and is updated daily on week days.
Initial download of the metrics may take a while.