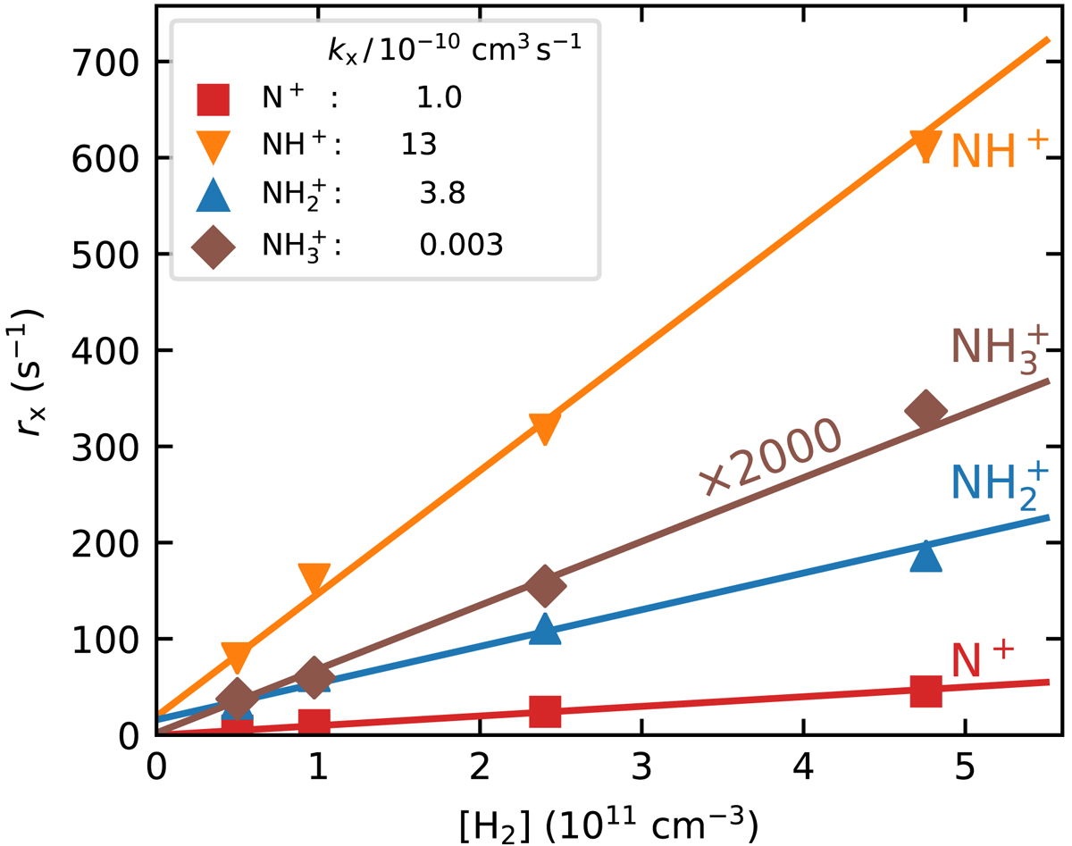
Fig. 2.

Measured reaction loss rates rN+, rNH+, , and
of N+, NH+, NH
, and NH
ions, respectively, as a function of H2 number density. The primary N+ ions are injected into the ion trap from the SIS. The collisional temperature is T = 18 K and helium number density is [He]=8 × 1013 cm−3. For the relatively slow reaction of NH
ions, the plotted values of
are multiplied by a factor of 2000. The corresponding binary reaction rate coefficients kN+, kNH+,
, and
given by the slope of the plotted dependences are indicated in the legend.
Current usage metrics show cumulative count of Article Views (full-text article views including HTML views, PDF and ePub downloads, according to the available data) and Abstracts Views on Vision4Press platform.
Data correspond to usage on the plateform after 2015. The current usage metrics is available 48-96 hours after online publication and is updated daily on week days.
Initial download of the metrics may take a while.