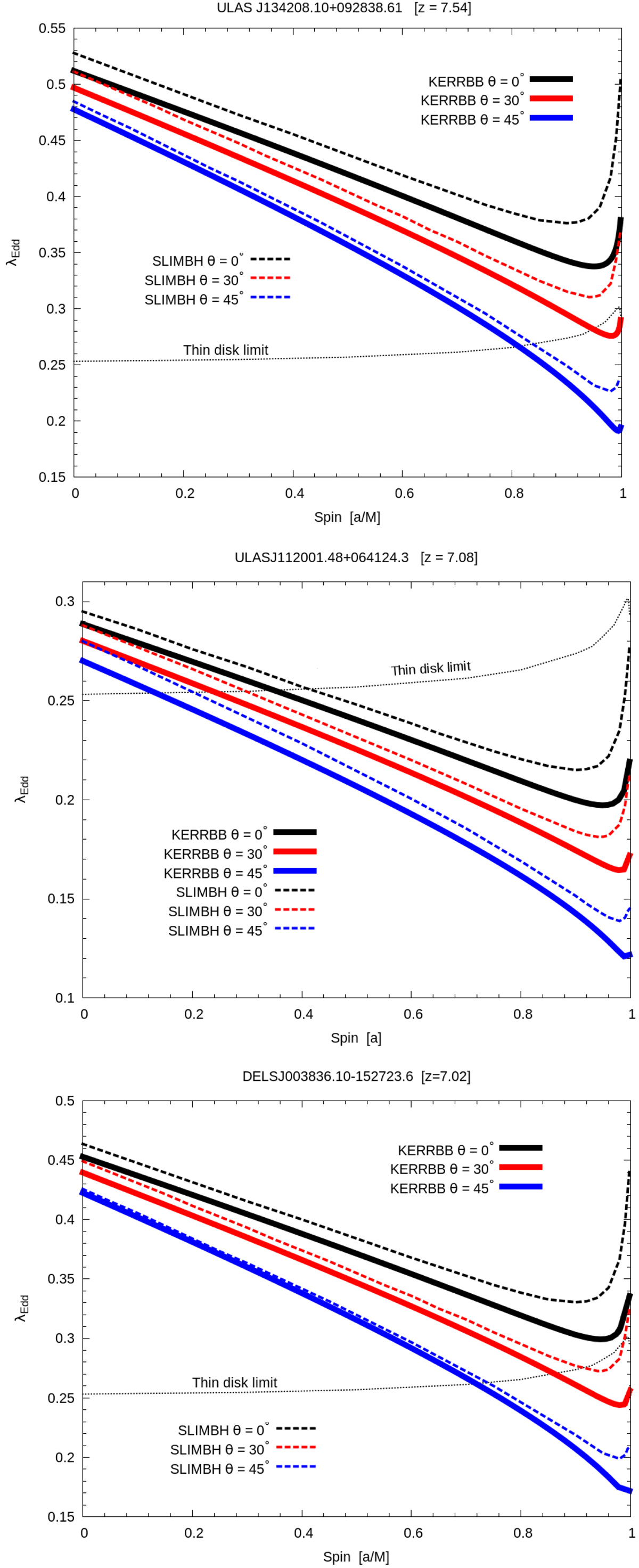
Fig. 4.

Top panel: Eddington ratio λ = Ld/LEdd as a function of the BH spin a for different viewing angles (θv = 0° black, 30° red, 45° blue) computed with the KERRBB (solid lines) and the SLIMBH (dashed lines) models for the source J1342. Central and bottom panels: same plot for the sources J1120 and J0038. The black dotted line is the thin disk limit for λ following Laor & Netzer (1989): the KERRBB solutions above this limit are not consistent with the thin disk approximation and another model (e.g. slim disk) must be used.
Current usage metrics show cumulative count of Article Views (full-text article views including HTML views, PDF and ePub downloads, according to the available data) and Abstracts Views on Vision4Press platform.
Data correspond to usage on the plateform after 2015. The current usage metrics is available 48-96 hours after online publication and is updated daily on week days.
Initial download of the metrics may take a while.