Free Access
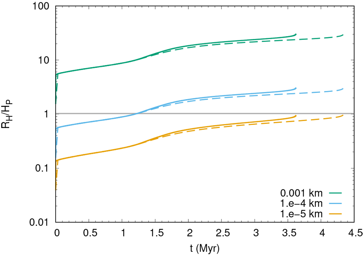
Fig. 10

Ratio between the Hill radius and the scale height of small particles, with Stokes number less than or equal to unity, for the baseline model (solid lines) and for the simulation including pebble accretion (dashed lines) as a function of time.
Current usage metrics show cumulative count of Article Views (full-text article views including HTML views, PDF and ePub downloads, according to the available data) and Abstracts Views on Vision4Press platform.
Data correspond to usage on the plateform after 2015. The current usage metrics is available 48-96 hours after online publication and is updated daily on week days.
Initial download of the metrics may take a while.