Free Access
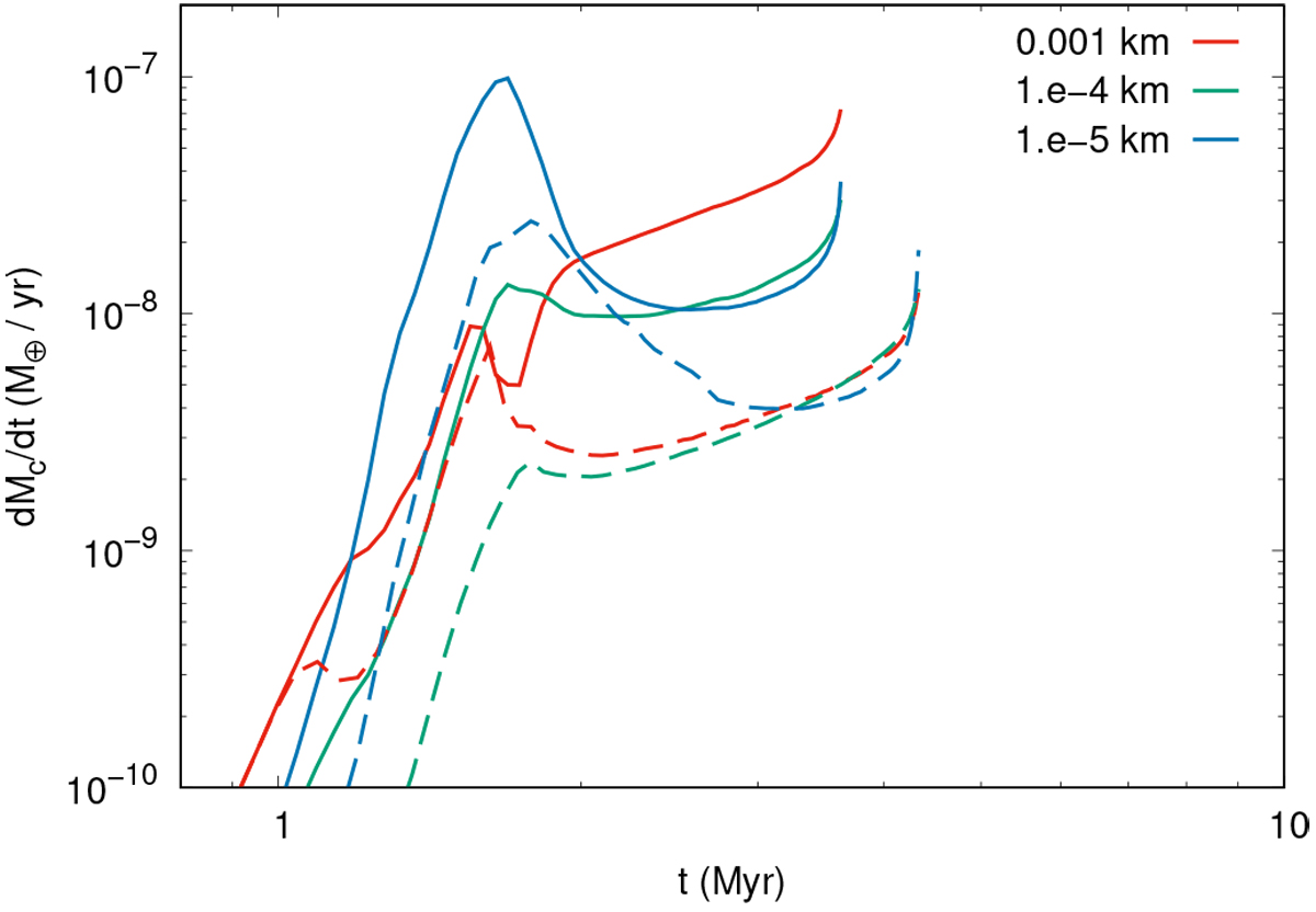
Fig. 11

Solid accretion rates for small particles, product of the collisional evolution of planetesimals, for the baseline model (solidlines) and for the simulation including pebble accretion (dashed lines) as a function of time. Small particles of these sizes have Stokes number less than or equal to unity.
Current usage metrics show cumulative count of Article Views (full-text article views including HTML views, PDF and ePub downloads, according to the available data) and Abstracts Views on Vision4Press platform.
Data correspond to usage on the plateform after 2015. The current usage metrics is available 48-96 hours after online publication and is updated daily on week days.
Initial download of the metrics may take a while.