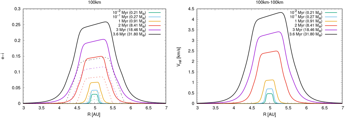
Fig. 4

Left panel: time evolution of the radial profiles of the eccentricity (solid lines) and inclination (dashed lines) for 100 km-sized planetesimals. Right panel: time evolution of the relative velocity between planetesimals with 100 km radius. In brackets we show the total mass of the planet at the given times. The black curve corresponds to the time (and mass) at which the planet reaches the cross-over mass.
Current usage metrics show cumulative count of Article Views (full-text article views including HTML views, PDF and ePub downloads, according to the available data) and Abstracts Views on Vision4Press platform.
Data correspond to usage on the plateform after 2015. The current usage metrics is available 48-96 hours after online publication and is updated daily on week days.
Initial download of the metrics may take a while.