Free Access

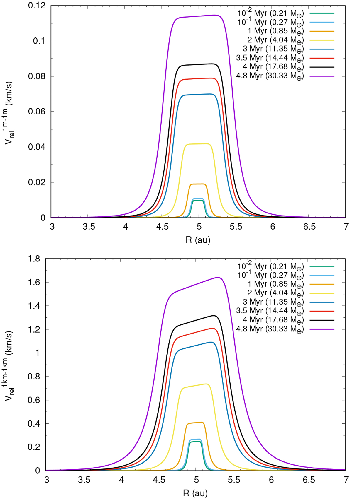
Fig. 7

image

Time evolution of the relative velocity between basaltic planetesimals of the same size for the model that considers as a function of the planetesimal relative velocities. Top panel: 1 m-sized planetesimals. Bottom panel: 1 km-sized planetesimals. In brackets we show the total mass of the planet at the given times.

Current usage metrics show cumulative count of Article Views (full-text article views including HTML views, PDF and ePub downloads, according to the available data) and Abstracts Views on Vision4Press platform.

Data correspond to usage on the plateform after 2015. The current usage metrics is available 48-96 hours after online publication and is updated daily on week days.

Initial download of the metrics may take a while.