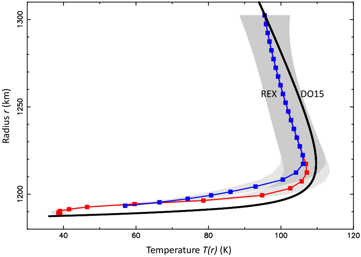
Fig. 8

As in Fig. 7 but for the temperature profiles T(r). By construction, the REX profile uses a boundary condition Tb = 95.5 K at the reference radius rb = 1302.4 km in order to connect it to the DO15 profile (solid black line). Thus, the intersection of the REX and DO15 profiles at rb is a mere result of the choice of Tb, and is not ameasurement. There are no formal error bars on the temperature profile of Sicardy et al. (2016), as most of the errorscome in this case from biases; see text.
Current usage metrics show cumulative count of Article Views (full-text article views including HTML views, PDF and ePub downloads, according to the available data) and Abstracts Views on Vision4Press platform.
Data correspond to usage on the plateform after 2015. The current usage metrics is available 48-96 hours after online publication and is updated daily on week days.
Initial download of the metrics may take a while.