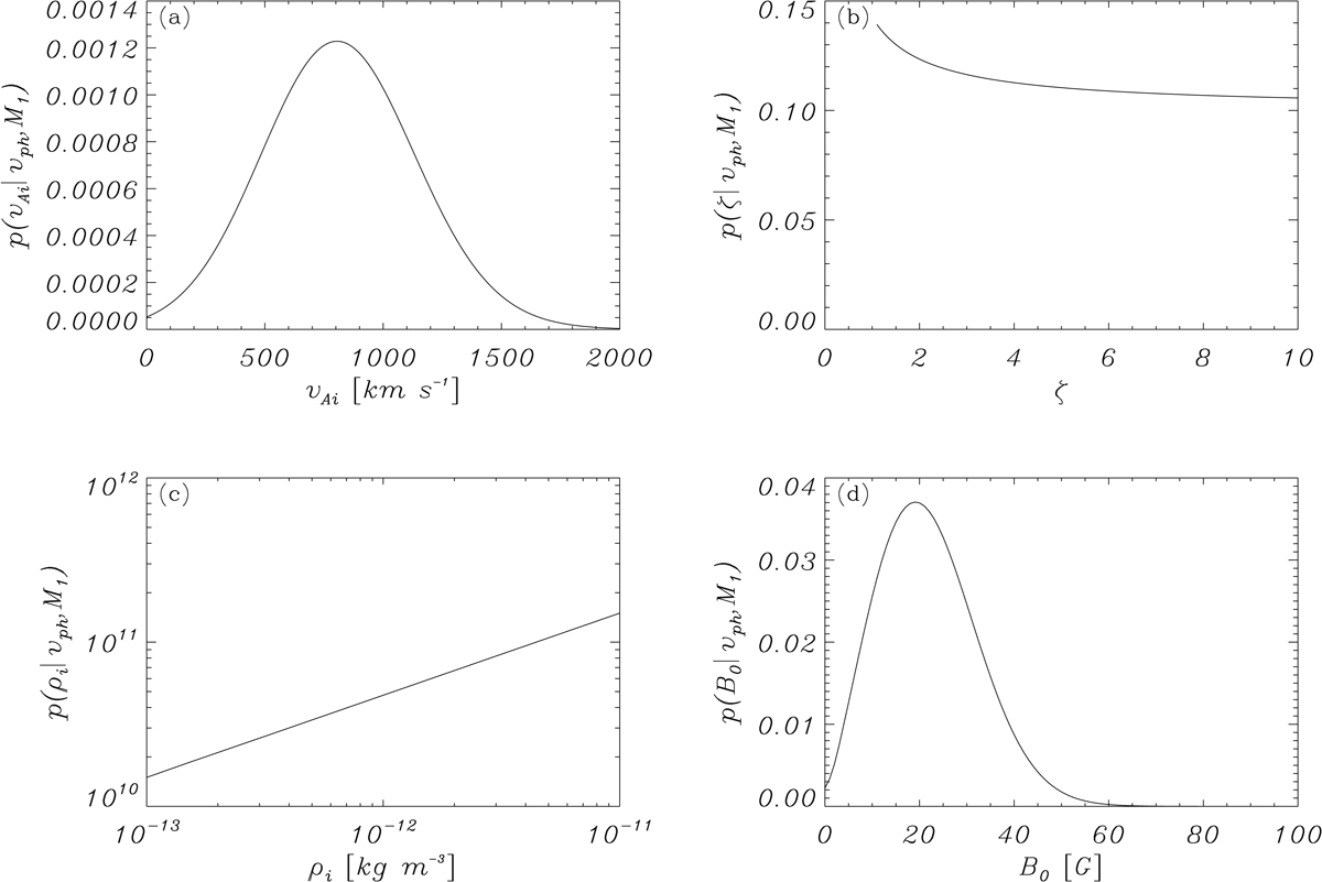
Fig. 1.

Posterior probability distributions for (a) the internal Alfvén speed, (b) the density contrast, (c) the internal density, and (d) the magnetic field strength for a loop oscillation event with observed phase speed vph = 1030 ± 410 km s−1 under model M1, given by Eqs. (7) and (9). The inferred median values for the Alfvén speed and the magnetic field strength are km s−1 and
G, respectively, with uncertainties given at the 68% credible interval. Uniform priors were considered in the intervals vAi ∈ [1, 2000] km s−1, ζ ∈ [1.1, 10], ρi ∈ [10−13, 10−11] kg m−3, and B0 ∈ [0.1, 100] G. Despite the visual impression, the marginal probabilities for vAi and B0 at their zero values are zero because of the considered ranges.
Current usage metrics show cumulative count of Article Views (full-text article views including HTML views, PDF and ePub downloads, according to the available data) and Abstracts Views on Vision4Press platform.
Data correspond to usage on the plateform after 2015. The current usage metrics is available 48-96 hours after online publication and is updated daily on week days.
Initial download of the metrics may take a while.