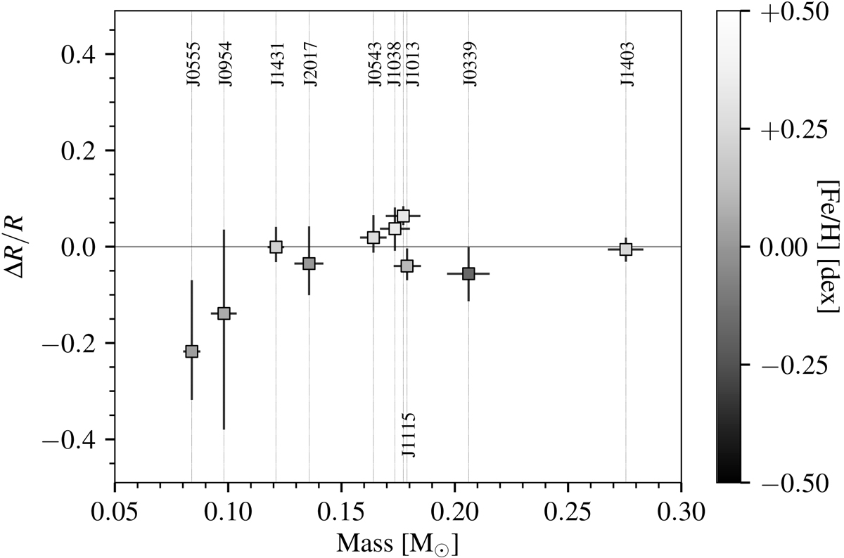
Fig. 5.

Metallicity-adjusted radius residuals, plotted against the mass. Residuals are computed with respect to a predicted radius, determined by using the metallicity measurement for the primary star to linearly interpolate between solar and sub-solar isochrones from (Baraffe et al. 2015, 1998), and extrapolating for super-solar metallicities.
Current usage metrics show cumulative count of Article Views (full-text article views including HTML views, PDF and ePub downloads, according to the available data) and Abstracts Views on Vision4Press platform.
Data correspond to usage on the plateform after 2015. The current usage metrics is available 48-96 hours after online publication and is updated daily on week days.
Initial download of the metrics may take a while.