Free Access
Fig. 15.
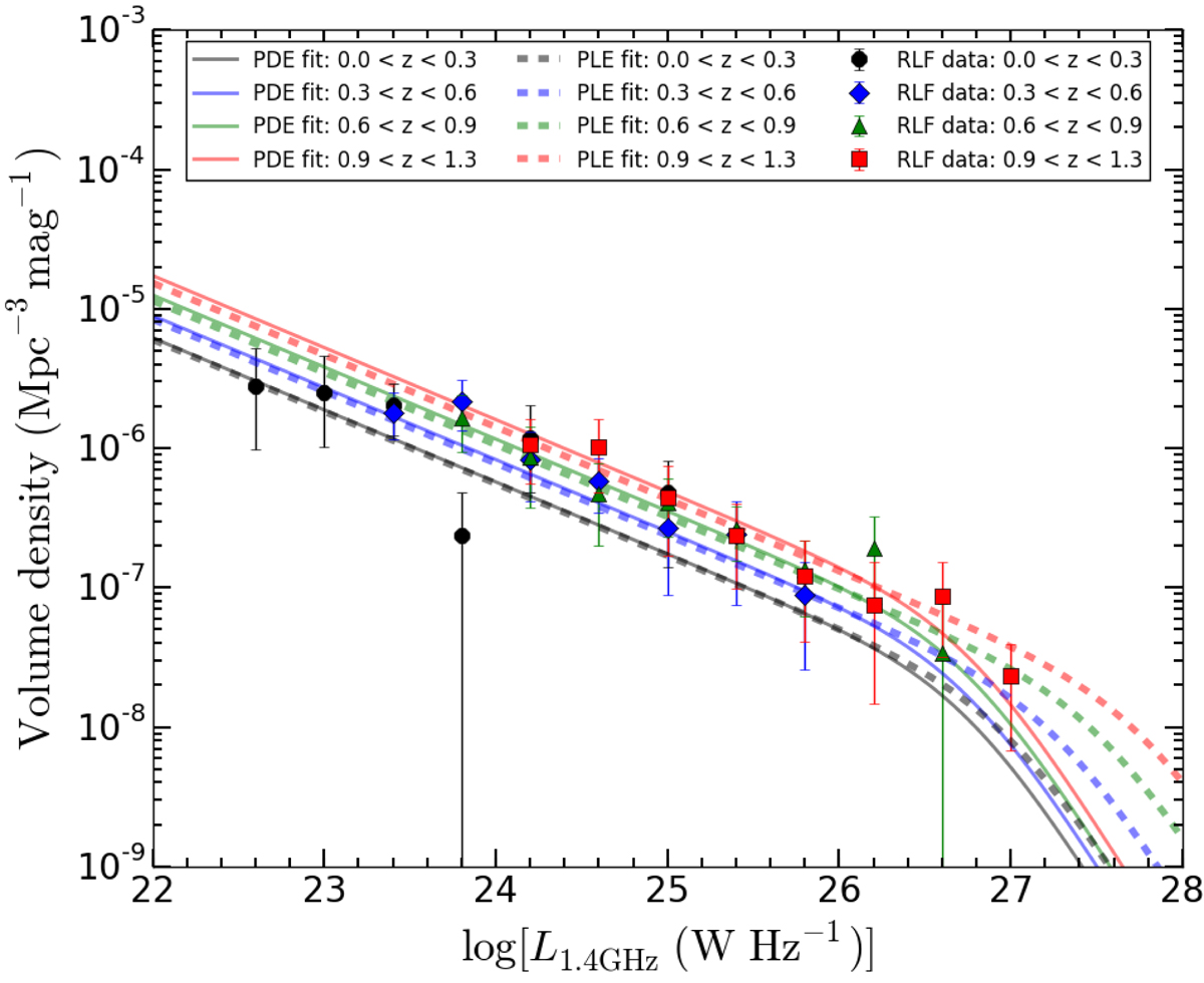
1.4 GHz XXL-S RLF pure density evolution (PDE) and pure luminosity evolution (PLE) fits for RL HERGs with Mi < −22 for each redshift bin. See Table 14 for the best fit parameters.
Current usage metrics show cumulative count of Article Views (full-text article views including HTML views, PDF and ePub downloads, according to the available data) and Abstracts Views on Vision4Press platform.
Data correspond to usage on the plateform after 2015. The current usage metrics is available 48-96 hours after online publication and is updated daily on week days.
Initial download of the metrics may take a while.