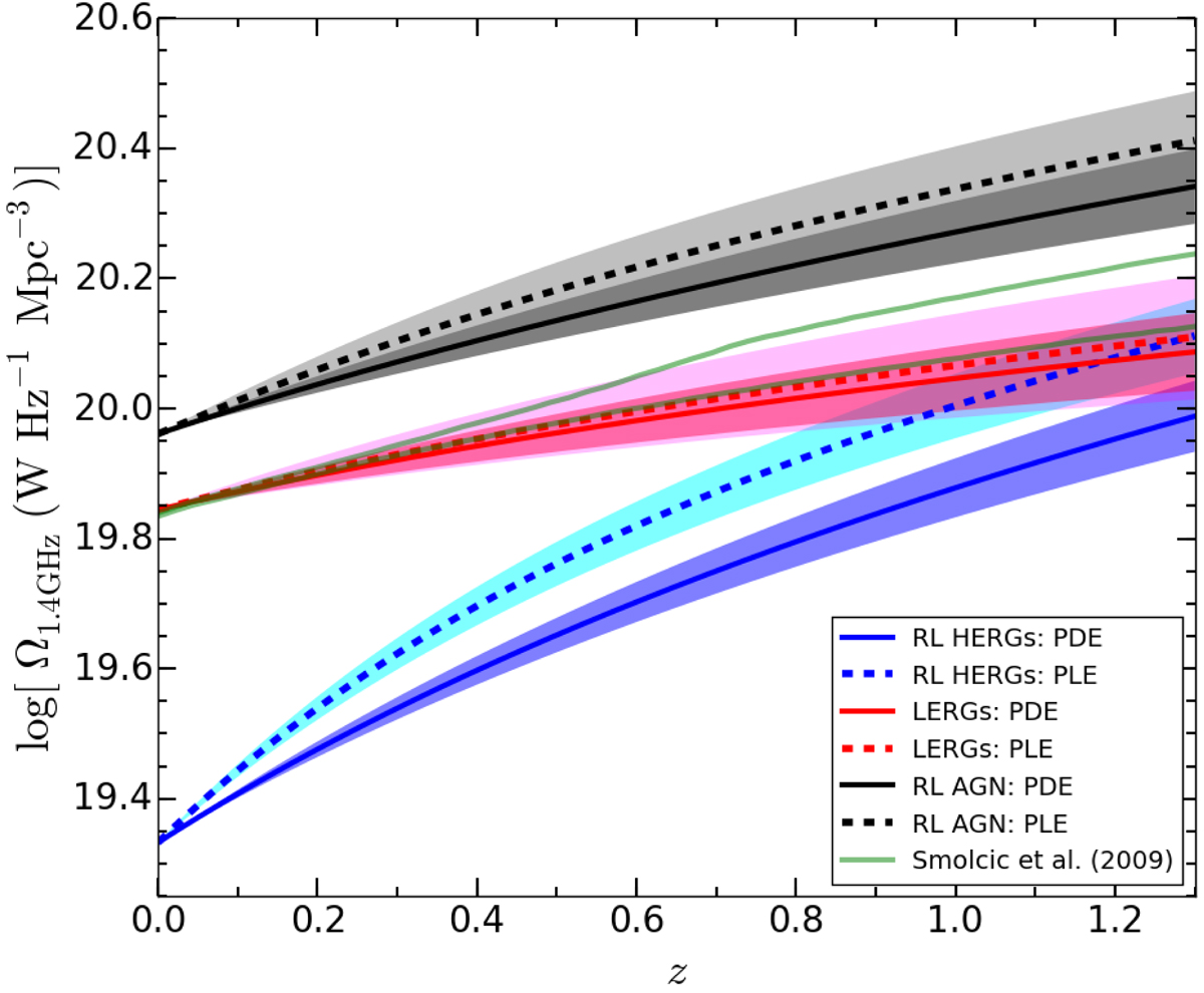
Fig. 17.

Evolution of the 1.4 GHz comoving luminosity density (Ω1.4 GHz) for RL HERGs (blue lines), LERGs (red lines), and all RL AGN (black lines) in XXL-S, integrated from log[L1.4 GHz (W Hz−1)] = 22.4 to 27.2 (the full range of luminosities probed in the RLFs) at each redshift for best fit PDE (solid lines) and PLE (dashed lines) models. The red and magenta shaded areas represent the uncertainties for the LERG PDE and PLE fits, the blue and cyan shaded areas represent the uncertainties for the RL HERG PDE and PLE fits, and the black and grey shaded areas represent the uncertainties for the RL AGN PDE and PLE fits, respectively. The light green lines represent Ω1.4 GHz for the low luminosity (L1.4 GHz < 5 × 1025 W Hz−1) radio AGN in COSMOS from Smolčić et al. (2009).
Current usage metrics show cumulative count of Article Views (full-text article views including HTML views, PDF and ePub downloads, according to the available data) and Abstracts Views on Vision4Press platform.
Data correspond to usage on the plateform after 2015. The current usage metrics is available 48-96 hours after online publication and is updated daily on week days.
Initial download of the metrics may take a while.