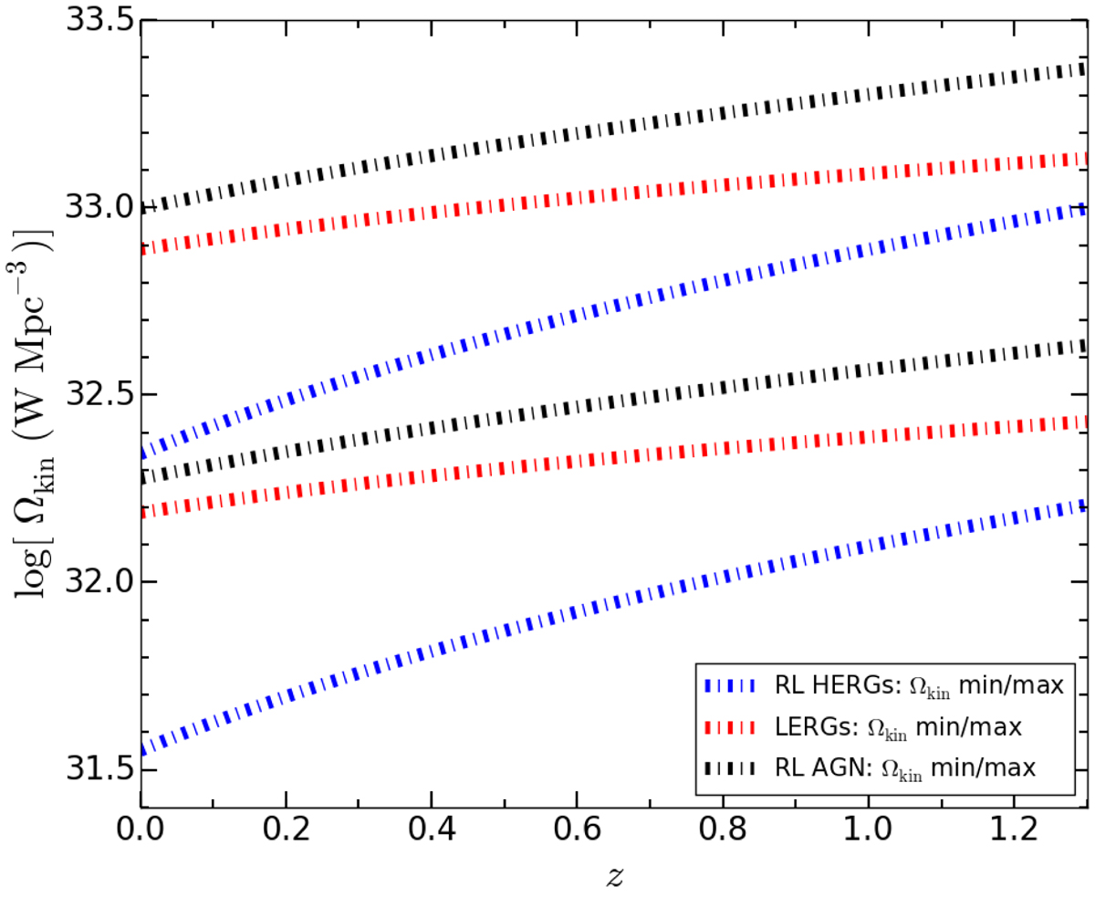
Fig. 19.

Evolution of the comoving kinetic luminosity density (Ωkin) for RL HERGs (blue lines), LERGs (red lines), and all RL AGN (black lines) in XXL-S using the Cavagnolo et al. (2010) scaling relation, integrated from log[L1.4 GHz (W Hz−1)] = 22.4 to 27.2 (the full range of luminosities probed in the RLFs) at each redshift for best fit PDE models. The PLE models do not differ significantly from the PDE models on this scale. The upper and lower lines for each population represent the range of uncertainties in the Cavagnolo et al. (2010) scaling relation.
Current usage metrics show cumulative count of Article Views (full-text article views including HTML views, PDF and ePub downloads, according to the available data) and Abstracts Views on Vision4Press platform.
Data correspond to usage on the plateform after 2015. The current usage metrics is available 48-96 hours after online publication and is updated daily on week days.
Initial download of the metrics may take a while.