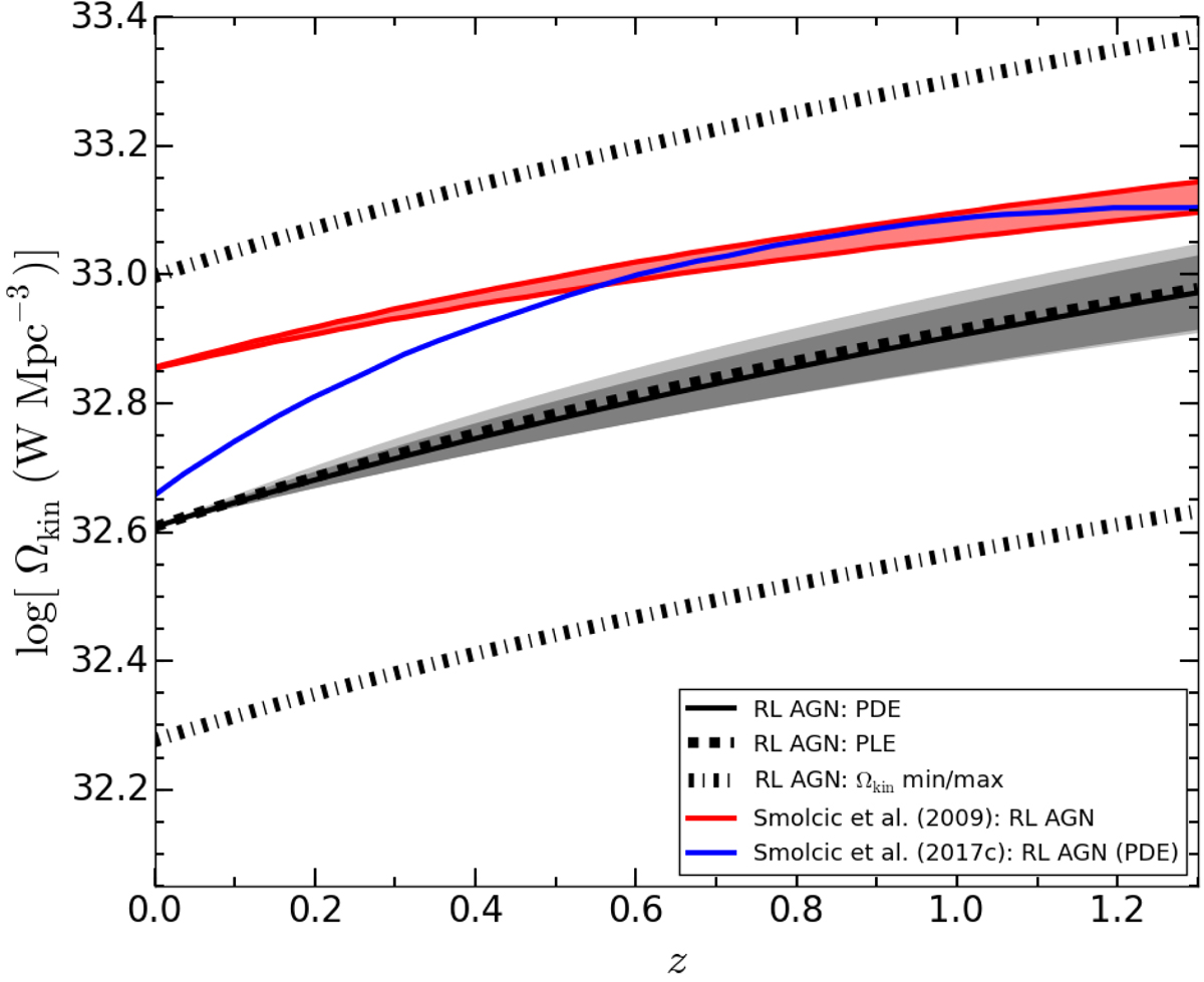
Fig. 20.

Evolution of the kinetic luminosity density (Ωkin) for all RL AGN in XXL-S for PDE (solid black line) and PLE (dashed black line) fits, integrated from log[L1.4 GHz (W Hz−1)] = 22.4 to 27.2 (the full range of luminosities probed in the RLFs). The black and grey shaded areas represent the uncertainties for the RL AGN PDE and PLE fits, respectively. For comparison, Ωkin for the RL AGN from Smolčić et al. (2009, 2017a) are displayed as the red shaded region and the blue line, respectively. The uncertainties in the Cavagnolo et al. (2010) scaling relation for the XXL-S data are shown as the black dash dot lines. The evolution of the RL AGN in XXL-S is broadly consistent with the evolution of the RL AGN in the samples from Smolčić et al. (2009, 2017a).
Current usage metrics show cumulative count of Article Views (full-text article views including HTML views, PDF and ePub downloads, according to the available data) and Abstracts Views on Vision4Press platform.
Data correspond to usage on the plateform after 2015. The current usage metrics is available 48-96 hours after online publication and is updated daily on week days.
Initial download of the metrics may take a while.