Fig. 21.

image

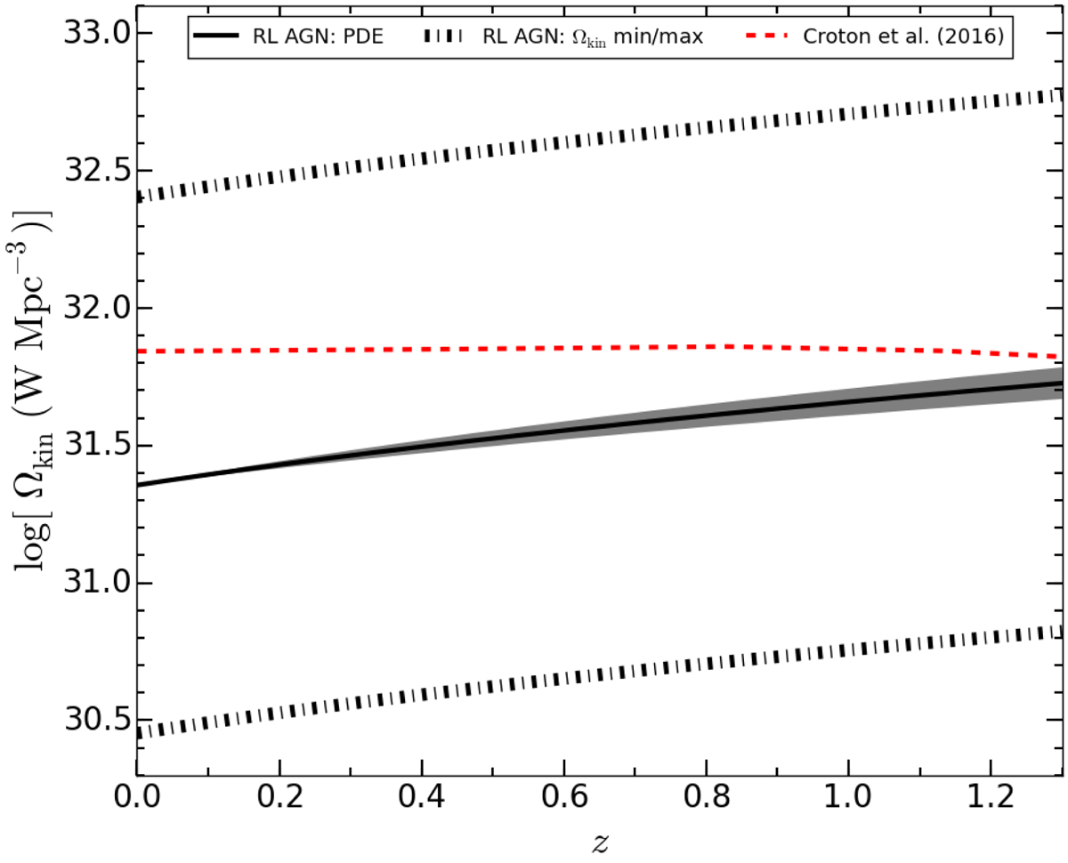
Evolution of Ωkin for all RL AGN in XXL-S (black line) using the scaling relation from Willott et al. (1999) with fW = 4, integrated from log[L1.4 GHz (W Hz−1)] = 22.4 to 27.2 (the full range of luminosities probed in the RLFs). Only the PDE evolution is displayed for clarity (the PLE results are nearly indistinguishable from the PDE results on this scale). The prediction from Croton et al. (2016) over this redshift range (dashed red line) is within the uncertainties of the XXL-S RL AGN Ωkin calculated using the Willott et al. (1999) relation (defined by using fW = 1 and fW = 20, shown as the black dash-dot lines).

Current usage metrics show cumulative count of Article Views (full-text article views including HTML views, PDF and ePub downloads, according to the available data) and Abstracts Views on Vision4Press platform.

Data correspond to usage on the plateform after 2015. The current usage metrics is available 48-96 hours after online publication and is updated daily on week days.

Initial download of the metrics may take a while.