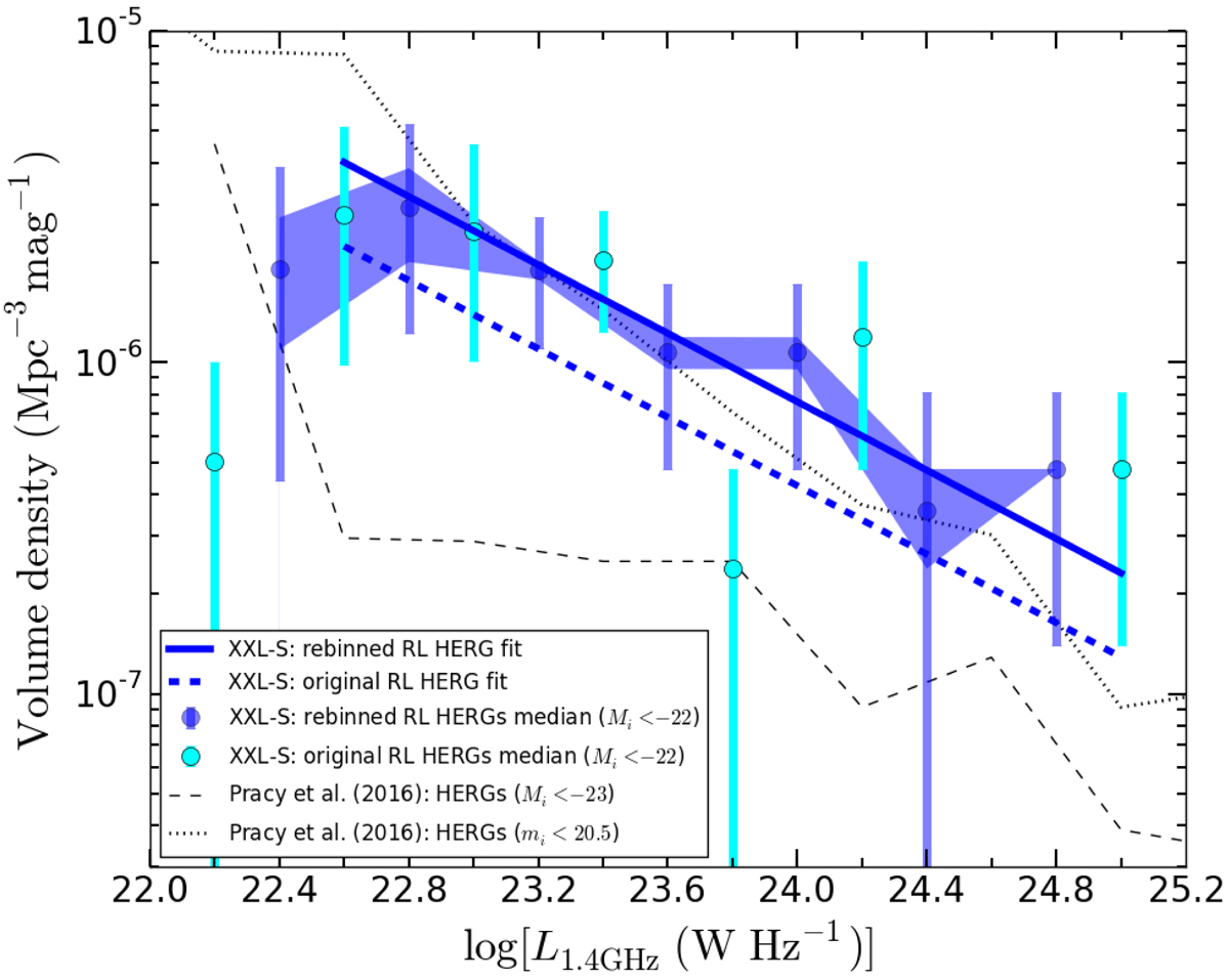
Fig. B.1.

Rebinned local XXL-S RL HERG RLF with Mi < −22 (blue shaded region) and the corresponding fit (solid blue line). The original local RL HERG RLF with Mi < −22 is shown as the cyan circles and its fit is the dashed blue line. The rebinning caused an increase in the normalisation of the fit (log[]= − 7.552). However, this did not significantly affect the measurement of the evolution of Ωkin for RL HERGs given the large uncertainties in the Cavagnolo et al. (2010) scaling relation. For comparison, the Pracy16 HERG RLFs with mi < 20.5 (including all sources) and Mi < −23 are shown.
Current usage metrics show cumulative count of Article Views (full-text article views including HTML views, PDF and ePub downloads, according to the available data) and Abstracts Views on Vision4Press platform.
Data correspond to usage on the plateform after 2015. The current usage metrics is available 48-96 hours after online publication and is updated daily on week days.
Initial download of the metrics may take a while.