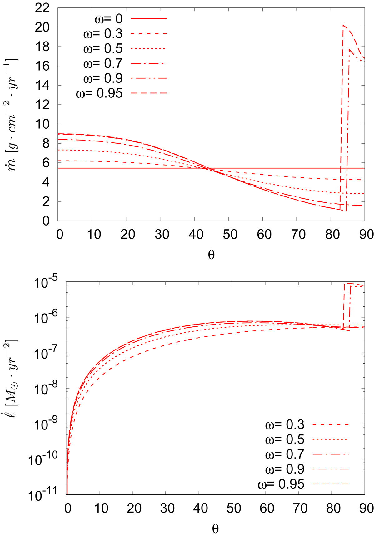
Fig. 8.

Variation in surface mass flux ṁ (top) and surface angular momentum flux (bottom) as a function of colatitude θ for a 15 M⊙ ESTER 2D-model at ZAMS with Z = 0.02 and various angular velocity ratios ω. The main bi-stability limit is reached near the equator for ω ≳ 0.85, and induces a strong mass-flux and angular momentum flux for colatitudes in between θjump and the equator.
Current usage metrics show cumulative count of Article Views (full-text article views including HTML views, PDF and ePub downloads, according to the available data) and Abstracts Views on Vision4Press platform.
Data correspond to usage on the plateform after 2015. The current usage metrics is available 48-96 hours after online publication and is updated daily on week days.
Initial download of the metrics may take a while.