Free Access
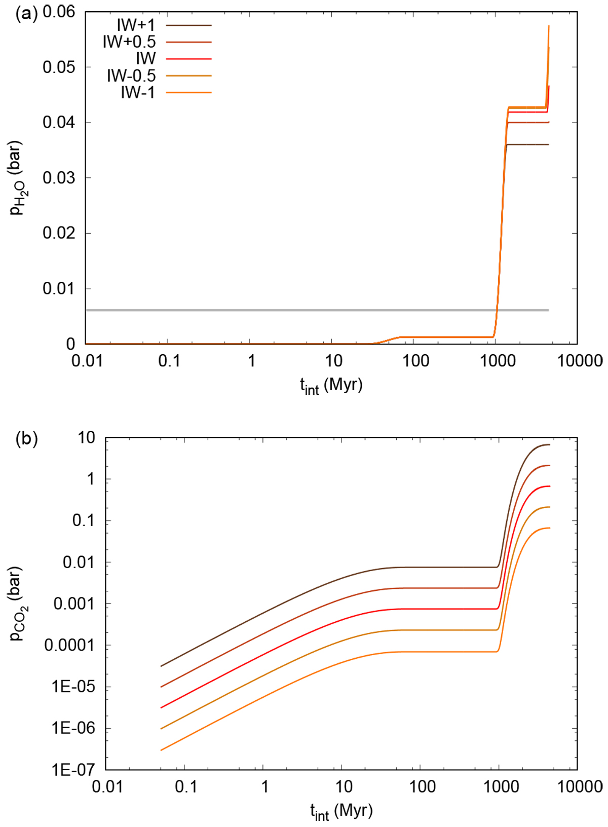
Fig. 6

Outgassing evolution of H2O (a) and CO2 (b) for an initial mantle water concentration of 62 ppm water and different oxygen fugacities. The grey horizontal line indicates the saturation vapour pressure of water at 273.15 K. The vertical axis of panel a is linear, while it is logarithmic in panel b and in Fig. 5.
Current usage metrics show cumulative count of Article Views (full-text article views including HTML views, PDF and ePub downloads, according to the available data) and Abstracts Views on Vision4Press platform.
Data correspond to usage on the plateform after 2015. The current usage metrics is available 48-96 hours after online publication and is updated daily on week days.
Initial download of the metrics may take a while.