Free Access

Fig. C.2

image

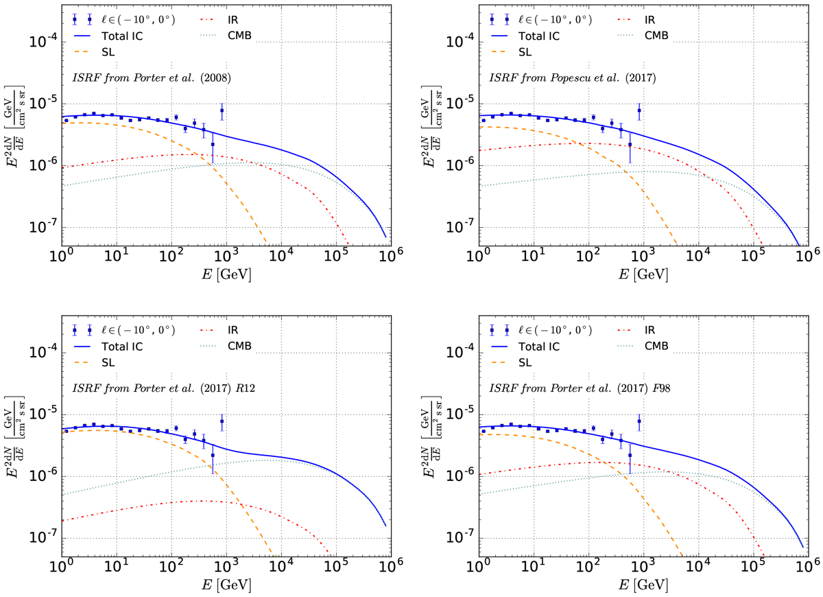
Contribution of various components of ISRFs to the IC model of the gamma-ray emission. The data points correspond to the emission at the base of the FBs in the rectangle b ∈ (−2°, 2°), ∈ (−10°, 0°) (middle panel in Fig. 11). The spectrum of CR electrons is modeled as a power-law function with an exponential cutoff at 1 PeV. We separate the SL and IR contributions to the ISRF by formally splitting the ISRF at 0.1 eV.

Current usage metrics show cumulative count of Article Views (full-text article views including HTML views, PDF and ePub downloads, according to the available data) and Abstracts Views on Vision4Press platform.

Data correspond to usage on the plateform after 2015. The current usage metrics is available 48-96 hours after online publication and is updated daily on week days.

Initial download of the metrics may take a while.