Free Access

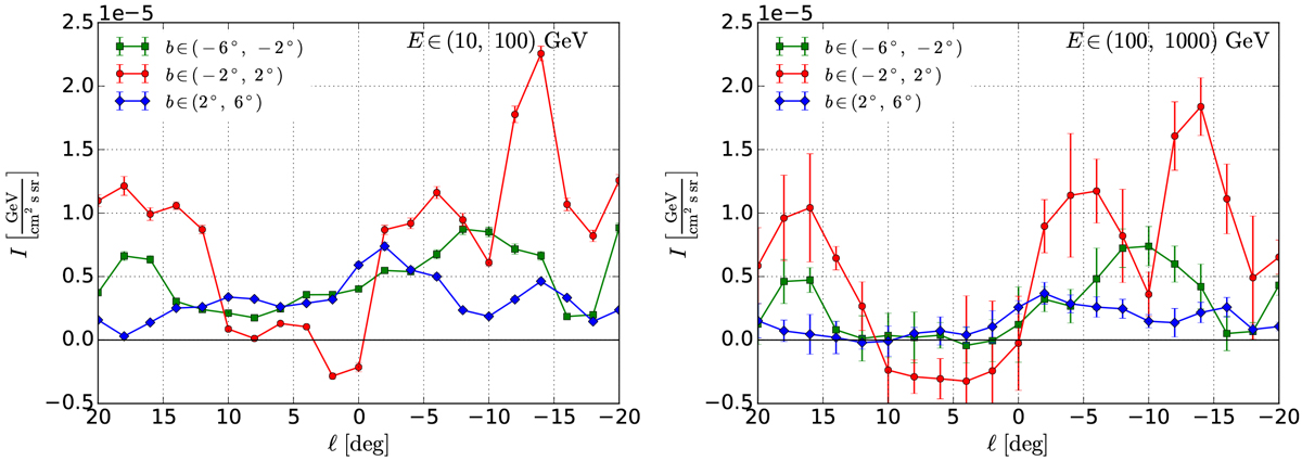
Fig. 8

image

Longitude profiles of the energy flux between 10 and 100 GeV and between 100 GeV and 1 TeV for the residuals in the low-energy data background model (Sect. 3.2).

Current usage metrics show cumulative count of Article Views (full-text article views including HTML views, PDF and ePub downloads, according to the available data) and Abstracts Views on Vision4Press platform.

Data correspond to usage on the plateform after 2015. The current usage metrics is available 48-96 hours after online publication and is updated daily on week days.

Initial download of the metrics may take a while.