Free Access

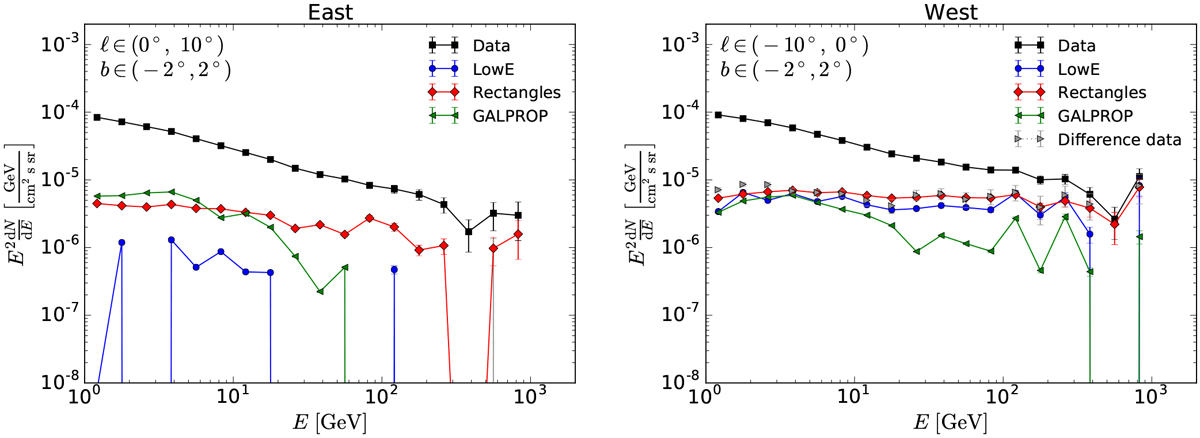
Fig. 9

image

Gamma-ray data SEDs of the residuals (LowE model), rectangles model of the FBs (rectangles model), residuals plus FBs model plus gNFW DM annihilation template (GALPROP model), and of the difference in the data west minus east of the GC (excluding pixels in the PS mask).

Current usage metrics show cumulative count of Article Views (full-text article views including HTML views, PDF and ePub downloads, according to the available data) and Abstracts Views on Vision4Press platform.

Data correspond to usage on the plateform after 2015. The current usage metrics is available 48-96 hours after online publication and is updated daily on week days.

Initial download of the metrics may take a while.